Image Details

Choose export citation format:

Development of a High-order Flux Reconstruction Framework for Solar and Astrophysical Magnetohydrodynamics: Methods and Benchmarks

  • Authors: Rayan Dhib, Firas Ben Ameur, Matteo Parsani, Andrea Lani, Stefaan Poedts

Rayan Dhib et al 2026 The Astrophysical Journal Supplement Series 283 .

  • Provider: AAS Journals

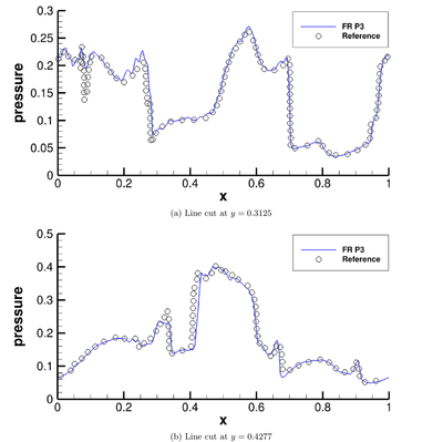
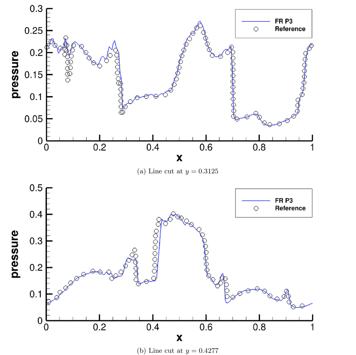
Caption: Figure 4.

Comparison between the obtained P3 result and the Athena solution (J. M. Stone et al. 2008) of the pressure field along two horizontal line cuts at t = 0.5.

Other Images in This Article

Show More

Copyright and Terms & Conditions

Additional terms of reuse