Image Details

Choose export citation format:

A DG-IMEX Method for Two-moment Neutrino Transport: Nonlinear Solvers for Neutrino–Matter Coupling

  • Authors: A DG-IMEX Method for Two-moment Neutrino Transport: Nonlinear Solvers for Neutrino–Matter Coupling

2021 The Astrophysical Journal Supplement Series 253 52.

  • Provider: AAS Journals

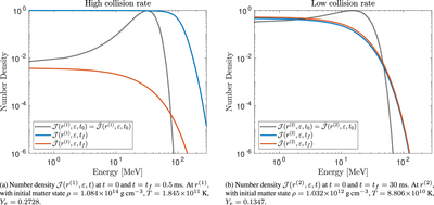
Caption: Figure 4.

Initial and final number densities vs. neutrino energy for relaxation problems with high (left panel) and low (right panel) collision rates. Each plot shows the initial number density given in Equation (73) for both neutrinos and antineutrinos (black dashed line), the final neutrino number density (blue solid line), and the final antineutrino number density (red solid line).

Other Images in This Article

Show More

Copyright and Terms & Conditions