Image Details

Choose export citation format:

A DG-IMEX Method for Two-moment Neutrino Transport: Nonlinear Solvers for Neutrino–Matter Coupling

  • Authors: A DG-IMEX Method for Two-moment Neutrino Transport: Nonlinear Solvers for Neutrino–Matter Coupling

2021 The Astrophysical Journal Supplement Series 253 52.

  • Provider: AAS Journals

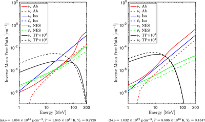
Caption: Figure 3.

Neutrino opacities for high (left panel) and moderate (right panel) mass density. In each panel, for neutrinos (solid lines) and antineutrinos (dashed lines), we plot, vs. neutrino energy ε, the absorption opacity (χ and ﹩\bar{\chi };﹩ red lines), the elastic (isoenergetic) scattering opacity (σIS and ﹩{\bar{\sigma }}_{{\rm\small{IS}}};﹩ blue lines), the NES opacity (χSC and ﹩{\bar{\chi }}_{{\rm{S}}{\rm\small{C}}};﹩ green lines), and the opacity due to pair creation and annihilation (χTP and ﹩{\bar{\chi }}_{{\rm{T}}{\rm\small{P}}};﹩ black lines). The NES and pair creation and annihilation opacities were computed with the neutrino and antineutrino number densities set to zero; see Equations (17) and (19).

Other Images in This Article

Show More

Copyright and Terms & Conditions