Image Details

Choose export citation format:

Using Muon Rings for the Calibration of the Cherenkov Telescope Array: A Systematic Review of the Method and Its Potential Accuracy

  • Authors: M. Gaug, S. Fegan, A.M.W. Mitchell, M.C. Maccarone, T. Mineo, and A. Okumura

2019 The Astrophysical Journal Supplement Series 243 11.

  • Provider: AAS Journals

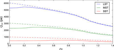
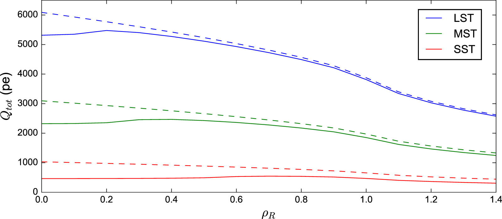
Caption: Figure 3.

Integrated amount of photoelectrons from muon Cerenkov light, using Equation (20), impinging on the telescope and registered in the camera, for the three different telescope designs for the CTA. The dashed lines show the case of no shadows, while the solid lines show the situation with a corresponding shadow from either an approximated roundish camera or a possible secondary mirror for the SST. A common value of Bμ ≃ 0.65 eV has been assumed.

Other Images in This Article

Show More

Copyright and Terms & Conditions