Image Details

Choose export citation format:

High-resolution Mid-infrared Spectroscopy of SVS13-A with EXES/SOFIA: The Surprisingly High CH3OH/H2O Ratio in the Planet-forming Zone of a Solar Mass Protostar

  • Authors: Curtis DeWitt, Marta De Simone, Eleonora Bianchi, Cecilia Ceccarelli, Claudio Codella, Sarah Nickerson, Keeyoon Sung, Albert Rimola, Vittorio Bariosco, Piero Uliengo, Naseem Rangwala

Curtis DeWitt et al 2026 The Astrophysical Journal Letters 1001 .

  • Provider: AAS Journals

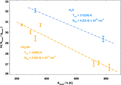
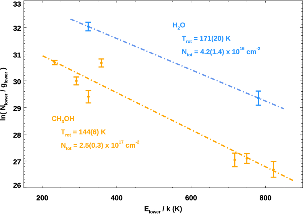
Caption: Figure 5.

Rotation diagram of the individually detected CH3OH and H2O lines toward SVS13-A.

Other Images in This Article
Copyright and Terms & Conditions

Additional terms of reuse