Image Details

Choose export citation format:

Asymptotic Behaviour of Galactic Small-scale Dynamos at Modest Magnetic Prandtl Number

  • Authors: Frederick A. Gent, Mordecai-Mark Mac Low, Maarit J. Korpi-Lagg, Touko Puro, Matthias Rheinhardt

Frederick A. Gent et al 2026 The Astrophysical Journal Letters 1000 .

  • Provider: AAS Journals

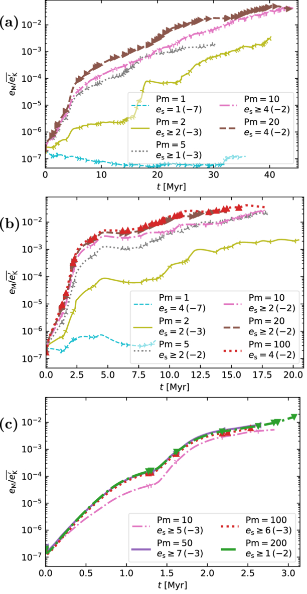
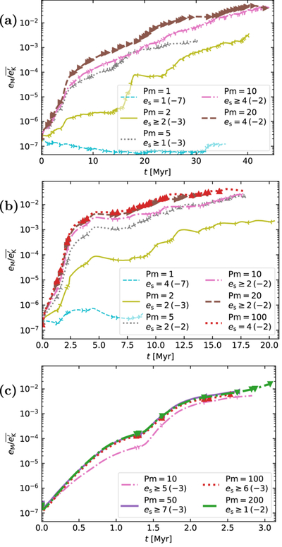
Caption: Figure 3.

Magnetic energy eM normalized by time-averaged turbulent kinetic energy ﹩\bar{{e}_{{\rm{K}}}^{{\prime} }}﹩ for grid sizes (a) 5123, (b) 10243, and (c) 20483  zones. See the legends for Pm and saturation energy es from an average over the final 2.5% of simulation time. Markers are shown at the time of SN explosions. Note that the timescales are dramatically smaller at higher resolution.

Other Images in This Article
Copyright and Terms & Conditions

Additional terms of reuse