Image Details

Choose export citation format:

Asymptotic Behaviour of Galactic Small-scale Dynamos at Modest Magnetic Prandtl Number

  • Authors: Frederick A. Gent, Mordecai-Mark Mac Low, Maarit J. Korpi-Lagg, Touko Puro, Matthias Rheinhardt

Frederick A. Gent et al 2026 The Astrophysical Journal Letters 1000 .

  • Provider: AAS Journals

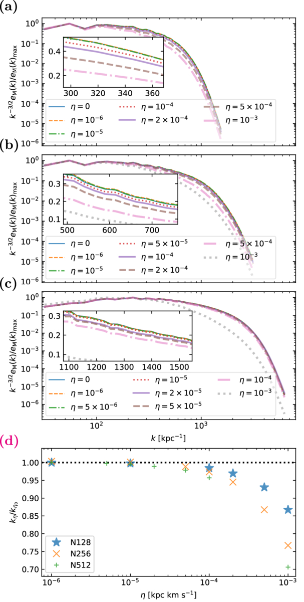
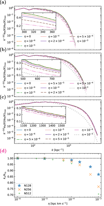
Caption: Figure 1.

Magnetic energy spectra eM(k) compensated by the Kazantsev scaling k3/2 and normalized by their compensated maximum for (a) models N128, (b) N256, and (c) N512 using different values of the magnetic diffusivity η in kpc km s−1 as listed in the legends. Insets zoom in near the start of the inertial range to highlight deviations from the curve for η = 0. In panel (d), the wavenumber kη at the dissipation scale, normalized by ﹩{k}_{{\eta }_{0}}={k}_{\eta }(\eta =0)﹩, is plotted against η. The dissipation scale is resolved, defining ηcrit, for values of η where ﹩{k}_{\eta }/{k}_{{\eta }_{0}}\lt 1﹩.

Other Images in This Article
Copyright and Terms & Conditions

Additional terms of reuse