Image Details

Choose export citation format:

Jet–Environment Interaction after Delayed Collapse in Binary Neutron Star Mergers

  • Authors: Jay V. Kalinani, Riccardo Ciolfi, Manuela Campanelli, Bruno Giacomazzo, Andrea Pavan, Allen Wen, Yosef Zlochower

Jay V. Kalinani et al 2026 The Astrophysical Journal Letters 1000 .

  • Provider: AAS Journals

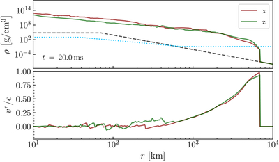
Caption: Figure 9.

Rest-mass density (top) and radial velocity (bottom) along the positive x- and z-axes at 20 ms after merger, for case A. Rest-mass density floor profiles in the top panel are shown as a black dashed line for our simulations and a light blue dotted line for K. Hayashi et al. (2024; see text).

Other Images in This Article
Copyright and Terms & Conditions

Additional terms of reuse