Image Details

Choose export citation format:

Jet–Environment Interaction after Delayed Collapse in Binary Neutron Star Mergers

  • Authors: Jay V. Kalinani, Riccardo Ciolfi, Manuela Campanelli, Bruno Giacomazzo, Andrea Pavan, Allen Wen, Yosef Zlochower

Jay V. Kalinani et al 2026 The Astrophysical Journal Letters 1000 .

  • Provider: AAS Journals

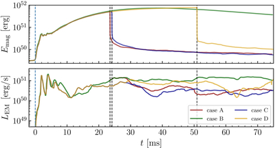
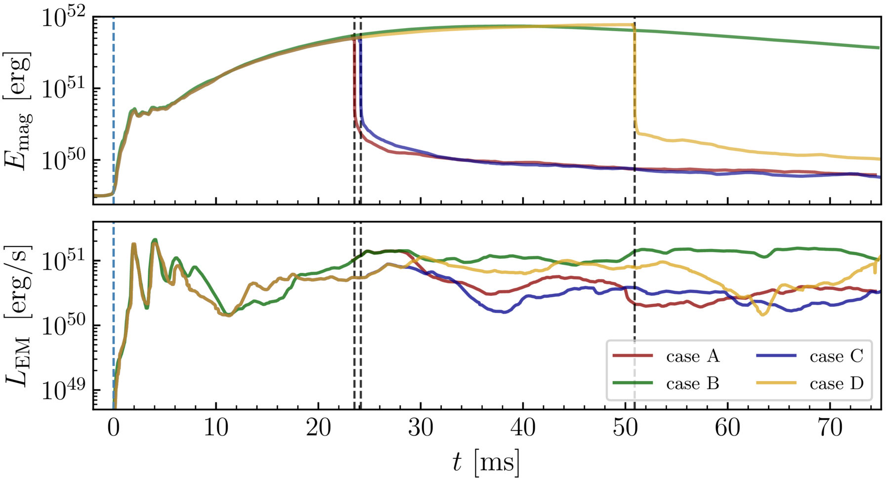
Caption: Figure 2.

Evolution of total magnetic energy (top) and Poynting-flux luminosity across the r = 295 km spherical surface (bottom), for all cases. The vertical light blue line marks the merger time, whereas vertical black lines mark the collapse time for cases A, C, and D, respectively.

Other Images in This Article
Copyright and Terms & Conditions

Additional terms of reuse