Image Details

Choose export citation format:

Velocity-space Turbulent Cascade in the Near-Sun Solar Wind: First Insights from the Parker Solar Probe Mission

  • Authors: A. Larosa, O. Pezzi, T. Bowen, L. Sorriso-Valvo, N. Sioulas, F. Pucci, D. Trotta, J. L. Verniero, R. Livi, S. Bharati Das, A. Chasapis, D. Perrone, F. Valentini, S. Servidio

A. Larosa et al 2025 The Astrophysical Journal Letters 995 .

  • Provider: AAS Journals

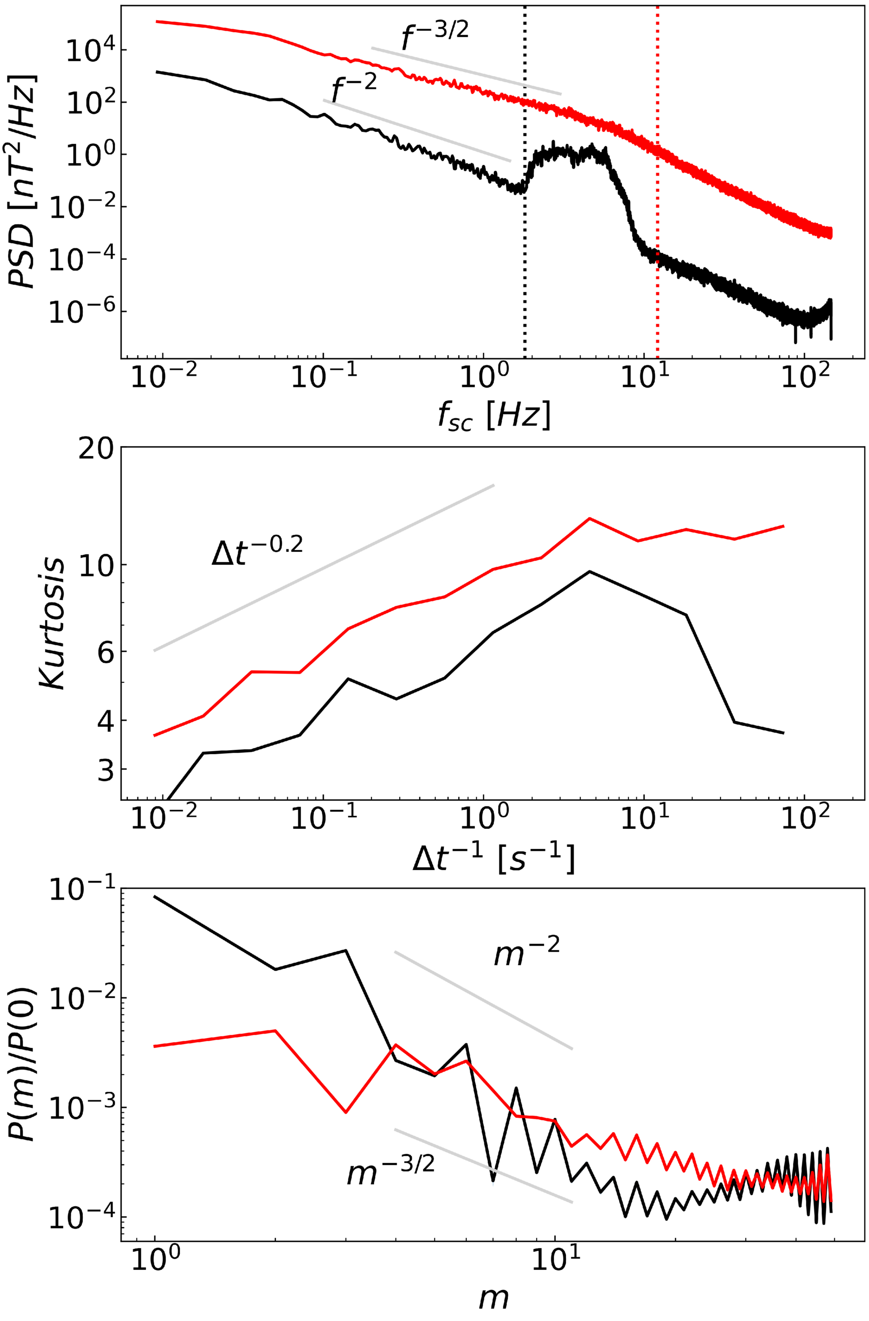
Caption: Figure 3.

Top to bottom: power-spectral density of the magnetic field (top), kurtosis of the magnetic field (middle), and average Hermite spectrum (bottom) for the wave stream (black) and turbulent stream (red). In gray are typical reference slopes (these are not fits) to aid the eye. The slopes for the Hermite spectra are the ones from the S. Servidio et al. (2017) phenomenological model.

Other Images in This Article
Copyright and Terms & Conditions

Additional terms of reuse