Image Details

Choose export citation format:

Star Formation under a Cosmic Microscope: Highly Magnified z = 11 Galaxy behind the Bullet Cluster

  • Authors: Maruša Bradač, Jon Judež, Chris Willott, Gregor Rihtaršic, Nicholas S. Martis, Anishya Harshan, Giordano Felicioni, Yoshihisa Asada, Guillaume Desprez, Douglas Clowe, Anthony H. Gonzalez, Christine Jones, Brian C. Lemaux, Maxim Markevitch, Vladan Markov, Lamiya Mowla, Gaël Noirot, Annika H. G. Peter, Andrew Robertson, Ghassan T. E. Sarrouh, Marcin Sawicki, Tim Schrabback, Roberta Tripodi

Maruša Bradač et al 2025 The Astrophysical Journal Letters 995 .

  • Provider: AAS Journals

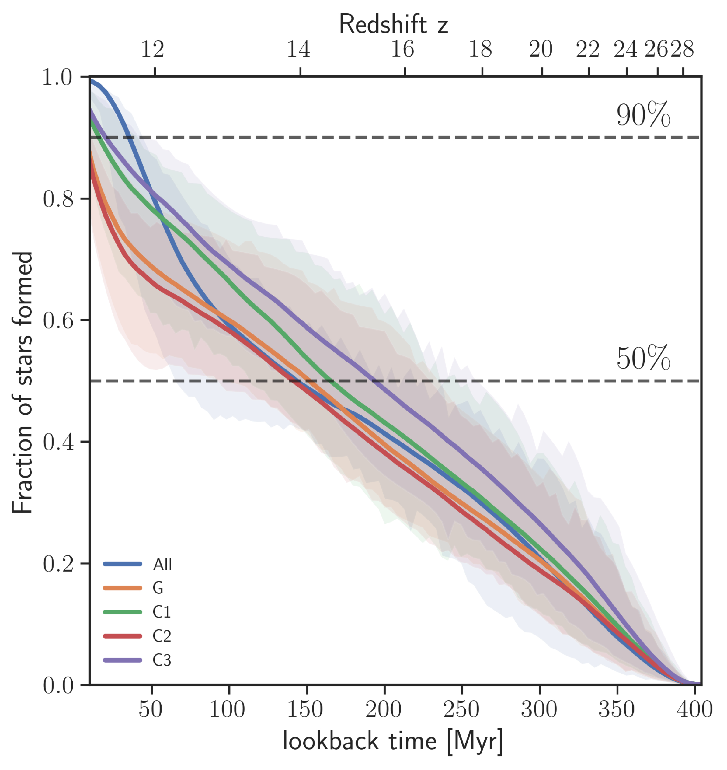
Caption: Figure 6.

Mass fraction of stars formed as a function of lookback time (bottom axis) and redshift (top axis) for all components (All: blue, galaxy: orange, C1: green, C2: red, and C3: violet). All components seem to be forming 50% of their total mass by a redshift of ∼14 (t50 ∼ 150 Myr). Note, however, that the results indicate a large range of possible SFHs (as indicated by the errors given as the shaded regions).

Other Images in This Article
Copyright and Terms & Conditions

Additional terms of reuse