Image Details

Choose export citation format:

Assembling GW231123 in Star Clusters through the Combination of Stellar Binary Evolution and Hierarchical Mergers

  • Authors: Lavinia Paiella, Cristiano Ugolini, Mario Spera, Marica Branchesi, Manuel Arca Sedda

Lavinia Paiella et al 2025 The Astrophysical Journal Letters 994 .

  • Provider: AAS Journals

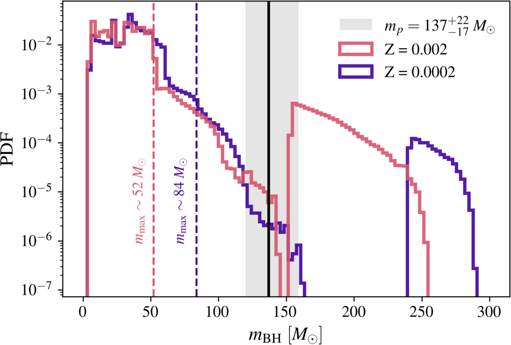
Caption: Figure 6.

Mass spectrum of BHs produced in primordial stellar binaries for Z = 0.002 and Z = 0.0002. The black line denotes the primary mass of GW231123 while the gray band indicates the 90% C.I.. The dashed lines show the maximum mass that a BH can attain as a product of single stellar evolution.

Other Images in This Article
Copyright and Terms & Conditions

Additional terms of reuse