Image Details

Choose export citation format:

Precision Measurement of Large Shear Signals

  • Authors: Jiarui Sun, Jun Zhang, Li Cui, Alessandro Sonnenfeld, Xin Wang

Jiarui Sun et al 2025 The Astrophysical Journal Letters 992 .

  • Provider: AAS Journals

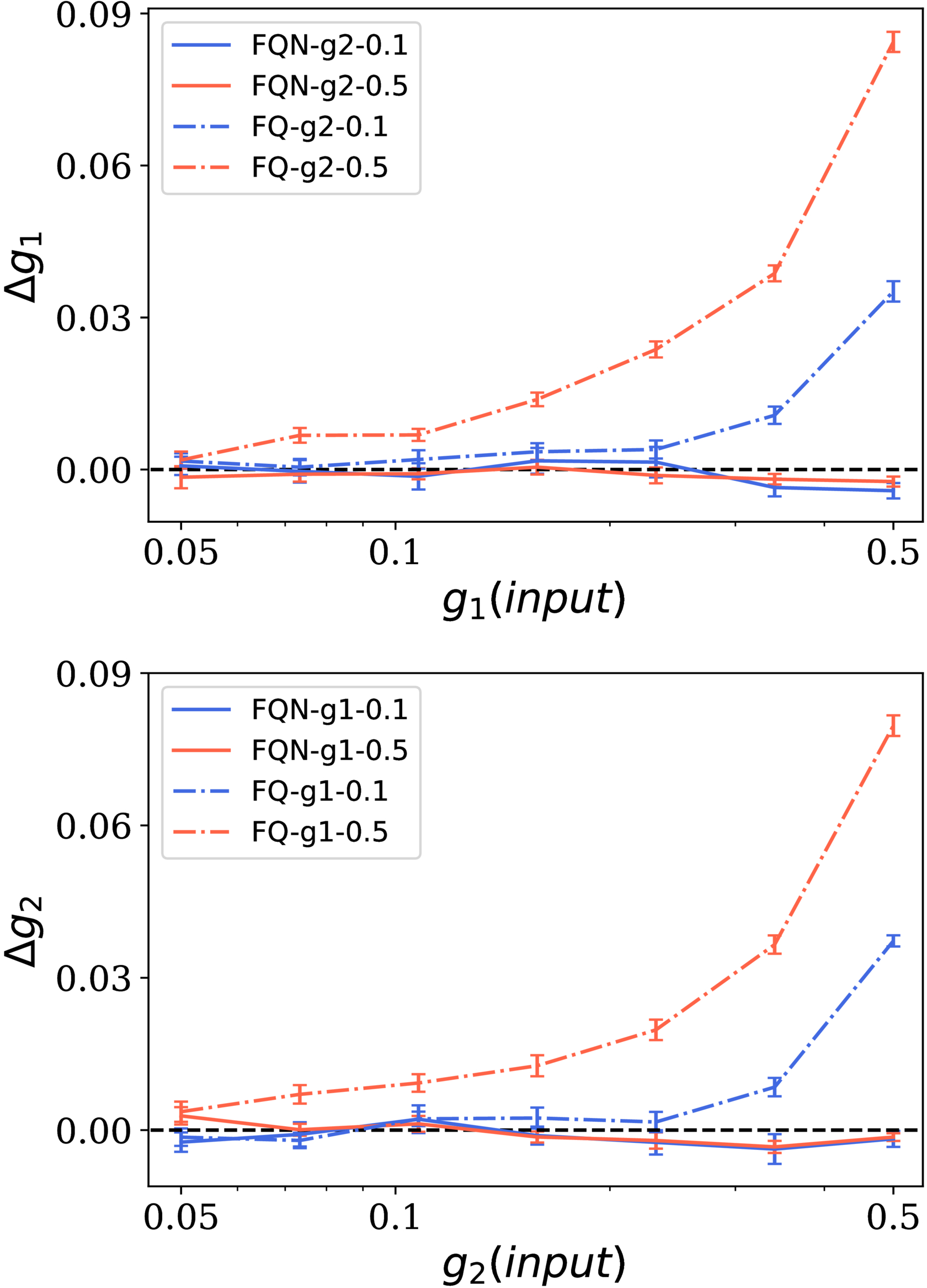
Caption: Figure 2.

An example of the shear errors in regular galaxies at SNR = 40. Different colors in the plots represent different g2 (g1) input values. The dotted–dashed curves correspond to the FQ results, while the solid lines correspond to the FQN results. The black dashed line indicates the zero baseline for comparison.

Other Images in This Article
Copyright and Terms & Conditions

Additional terms of reuse