Image Details

Choose export citation format:

From Coasting to Energy-conserving: New Self-similar Solutions to the Interaction Phase of Strong Explosions

  • Authors: Eric R. Coughlin

Eric R. Coughlin 2024 The Astrophysical Journal Letters 975 .

  • Provider: AAS Journals

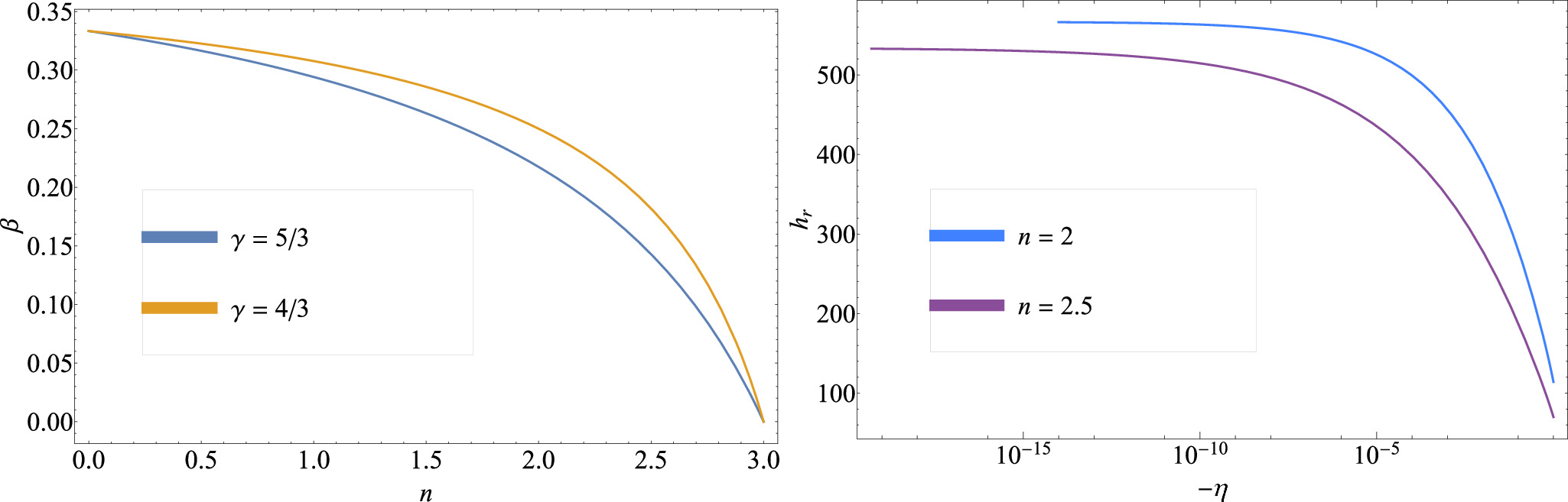
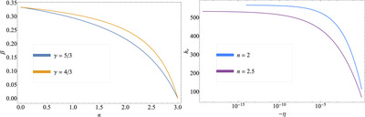
Caption: Figure 6.

Left: β (the leading nonzero power-law index of the pressure) as a function of n for γ = 5/3 (blue) and γ = 4/3 (orange) and m = 3. Since β > 0, the pressure converges near the CD, but the rate of convergence is extremely slow as n → 3. Right: the self-similar pressure in the RS shell, h r, as a function of −η on a logarithmic scale. The numerical accuracy needs to be extremely high, with the functions resolved at ∣η∣ ≤ 10−11 for n = 2 and ∣η∣ ≤ 10−16 for n = 2.5, to correctly determine the pressure at the CD and thus the eigenvalues controlling the expansion of the RS shell and the deceleration of the CD.

Other Images in This Article
Copyright and Terms & Conditions

Additional terms of reuse