Image Details

Choose export citation format:

Observation of Gravitational Waves from the Coalescence of a 2.5–4.5 M Compact Object and a Neutron Star

  • Authors: A. G. Abac, R. Abbott, I. Abouelfettouh, F. Acernese, K. Ackley, S. Adhicary, N. Adhikari, R. X. Adhikari, V. K. Adkins, D. Agarwal, M. Agathos, M. Aghaei Abchouyeh, O. D. Aguiar, I. Aguilar, L. Aiello, A. Ain, P. Ajith, S. Akçay, T. Akutsu, S. Albanesi, R. A. Alfaidi, A. Al-Jodah, C. Alléné, A. Allocca, S. Al-Shammari, P. A. Altin, S. Alvarez-Lopez, A. Amato, L. Amez-Droz, A. Amorosi, C. Amra, A. Ananyeva, S. B. Anderson, W. G. Anderson, M. Andia, M. Ando, T. Andrade, N. Andres, M. Andrés-Carcasona, T. Andrić, J. Anglin, S. Ansoldi, J. M. Antelis, S. Antier, M. Aoumi, E. Z. Appavuravther, S. Appert, S. K. Apple, K. Arai, A. Araya, M. C. Araya, J. S. Areeda, L. Argianas, N. Aritomi, F. Armato, N. Arnaud, M. Arogeti, S. M. Aronson, K. G. Arun, G. Ashton, Y. Aso, M. Assiduo, S. Assis de Souza Melo, S. M. Aston, P. Astone, F. Attadio, F. Aubin, K. AultONeal, G. Avallone, D. Azrad, S. Babak, F. Badaracco, C. Badger, S. Bae, S. Bagnasco, E. Bagui, J. G. Baier, L. Baiotti, R. Bajpai, T. Baka, M. Ball, G. Ballardin, S. W. Ballmer, S. Banagiri, B. Banerjee, D. Bankar, P. Baral, J. C. Barayoga, B. C. Barish, D. Barker, P. Barneo, F. Barone, B. Barr, L. Barsotti, M. Barsuglia, D. Barta, A. M. Bartoletti, M. A. Barton, I. Bartos, S. Basak, A. Basalaev, R. Bassiri, A. Basti, D. E. Bates, M. Bawaj, P. Baxi, J. C. Bayley, A. C. Baylor, P. A. Baynard II, M. Bazzan, V. M. Bedakihale, F. Beirnaert, M. Bejger, D. Belardinelli, A. S. Bell, V. Benedetto, W. Benoit, I. Bentara, J. D. Bentley, M. Ben Yaala, S. Bera, M. Berbel, F. Bergamin, B. K. Berger, S. Bernuzzi, M. Beroiz, C. P. L. Berry, D. Bersanetti, A. Bertolini, J. Betzwieser, D. Beveridge, N. Bevins, R. Bhandare, U. Bhardwaj, R. Bhatt, D. Bhattacharjee, S. Bhaumik, S. Bhowmick, A. Bianchi, I. A. Bilenko, G. Billingsley, A. Binetti, S. Bini, O. Birnholtz, S. Biscoveanu, A. Bisht, M. Bitossi, M.-A. Bizouard, J. K. Blackburn, L. A. Blagg, C. D. Blair, D. G. Blair, F. Bobba, N. Bode, G. Boileau, M. Boldrini, G. N. Bolingbroke, A. Bolliand, L. D. Bonavena, R. Bondarescu, F. Bondu, E. Bonilla, M. S. Bonilla, A. Bonino, R. Bonnand, P. Booker, A. Borchers, V. Boschi, S. Bose, V. Bossilkov, V. Boudart, A. Boudon, A. Bozzi, C. Bradaschia, P. R. Brady, M. Braglia, A. Branch, M. Branchesi, J. Brandt, I. Braun, M. Breschi, T. Briant, A. Brillet, M. Brinkmann, P. Brockill, E. Brockmueller, A. F. Brooks, B. C. Brown, D. D. Brown, M. L. Brozzetti, S. Brunett, G. Bruno, R. Bruntz, J. Bryant, F. Bucci, J. Buchanan, O. Bulashenko, T. Bulik, H. J. Bulten, A. Buonanno, K. Burtnyk, R. Buscicchio, D. Buskulic, C. Buy, R. L. Byer, G. S. Cabourn Davies, G. Cabras, R. Cabrita, V. Cáceres-Barbosa, L. Cadonati, G. Cagnoli, C. Cahillane, J. Calderón Bustillo, T. A. Callister, E. Calloni, J. B. Camp, M. Canepa, G. Caneva Santoro, K. C. Cannon, H. Cao, L. A. Capistran, E. Capocasa, E. Capote, G. Carapella, F. Carbognani, M. Carlassara, J. B. Carlin, M. Carpinelli, G. Carrillo, J. J. Carter, G. Carullo, J. Casanueva Diaz, C. Casentini, S. Y. Castro-Lucas, S. Caudill, M. Cavaglià, R. Cavalieri, G. Cella, P. Cerdá-Durán, E. Cesarini, W. Chaibi, P. Chakraborty, S. Chalathadka Subrahmanya, J. C. L. Chan, M. Chan, K. Chandra, R.-J. Chang, S. Chao, P. Char, E. L. Charlton, P. Charlton, E. Chassande-Mottin, C. Chatterjee, Debarati Chatterjee, Deep Chatterjee, D. Chattopadhyay, M. Chaturvedi, S. Chaty, K. Chatziioannou, A. Chen, A. H.-Y. Chen, D. Chen, H. Chen, H. Y. Chen, J. Chen, K. H. Chen, Y. Chen, Yanbei Chen, Yitian Chen, H. P. Cheng, P. Chessa, H. T. Cheung, S. Y. Cheung, F. Chiadini, G. Chiarini, R. Chierici, A. Chincarini, M. L. Chiofalo, A. Chiummo, C. Chou, S. Choudhary, N. Christensen, S. S. Y. Chua, P. Chugh, G. Ciani, P. Ciecielag, M. Cieślar, M. Cifaldi, R. Ciolfi, F. Clara, J. A. Clark, J. Clarke, T. A. Clarke, P. Clearwater, S. Clesse, E. Coccia, E. Codazzo, P.-F. Cohadon, S. Colace, M. Colleoni, C. G. Collette, J. Collins, S. Colloms, A. Colombo, M. Colpi, C. M. Compton, G. Connolly, L. Conti, T. R. Corbitt, I. Cordero-Carrión, S. Corezzi, N. J. Cornish, A. Corsi, S. Cortese, C. A. Costa, R. Cottingham, M. W. Coughlin, A. Couineaux, J.-P. Coulon, S. T. Countryman, J.-F. Coupechoux, P. Couvares, D. M. Coward, M. J. Cowart, R. Coyne, K. Craig, R. Creed, J. D. E. Creighton, T. D. Creighton, P. Cremonese, A. W. Criswell, J. C. G. Crockett-Gray, S. Crook, R. Crouch, J. Csizmazia, J. R. Cudell, T. J. Cullen, A. Cumming, E. Cuoco, M. Cusinato, P. Dabadie, T. Dal Canton, S. Dall'Osso, S. Dal Pra, G. Dálya, B. D'Angelo, S. Danilishin, S. D'Antonio, K. Danzmann, K. E. Darroch, L. P. Dartez, A. Dasgupta, S. Datta, V. Dattilo, A. Daumas, N. Davari, I. Dave, A. Davenport, M. Davier, T. F. Davies, D. Davis, L. Davis, M. C. Davis, P. J. Davis, M. Dax, J. De Bolle, M. Deenadayalan, J. Degallaix, M. De Laurentis, S. Deléglise, F. De Lillo, D. Dell'Aquila, W. Del Pozzo, F. De Marco, F. De Matteis, V. D'Emilio, N. Demos, T. Dent, A. Depasse, N. DePergola, R. De Pietri, R. De Rosa, C. De Rossi, R. DeSalvo, R. De Simone, A. Dhani, R. Diab, M. C. Díaz, M. Di Cesare, G. Dideron, N. A. Didio, T. Dietrich, L. Di Fiore, C. Di Fronzo, M. Di Giovanni, T. Di Girolamo, D. Diksha, A. Di Michele, J. Ding, S. Di Pace, I. Di Palma, F. Di Renzo, Divyajyoti, A. Dmitriev, Z. Doctor, E. Dohmen, P. P. Doleva, D. Dominguez, L. D'Onofrio, F. Donovan, K. L. Dooley, T. Dooney, S. Doravari, O. Dorosh, M. Drago, J. C. Driggers, J.-G. Ducoin, L. Dunn, U. Dupletsa, D. D'Urso, H. Duval, P.-A. Duverne, S. E. Dwyer, C. Eassa, M. Ebersold, T. Eckhardt, G. Eddolls, B. Edelman, T. B. Edo, O. Edy, A. Effler, J. Eichholz, H. Einsle, M. Eisenmann, R. A. Eisenstein, A. Ejlli, R. M. Eleveld, M. Emma, K. Endo, A. J. Engl, E. Enloe, L. Errico, R. C. Essick, H. Estellés, D. Estevez, T. Etzel, M. Evans, T. Evstafyeva, B. E. Ewing, J. M. Ezquiaga, F. Fabrizi, F. Faedi, V. Fafone, S. Fairhurst, A. M. Farah, B. Farr, W. M. Farr, G. Favaro, M. Favata, M. Fays, M. Fazio, J. Feicht, M. M. Fejer, R. . Felicetti, E. Fenyvesi, D. L. Ferguson, S. Ferraiuolo, I. Ferrante, T. A. Ferreira, F. Fidecaro, P. Figura, A. Fiori, I. Fiori, M. Fishbach, R. P. Fisher, R. Fittipaldi, V. Fiumara, R. Flaminio, S. M. Fleischer, L. S. Fleming, E. Floden, E. M. Foley, H. Fong, J. A. Font, B. Fornal, P. W. F. Forsyth, K. Franceschetti, N. Franchini, S. Frasca, F. Frasconi, A. Frattale Mascioli, Z. Frei, A. Freise, O. Freitas, R. Frey, W. Frischhertz, P. Fritschel, V. V. Frolov, G. G. Fronzé, M. Fuentes-Garcia, S. Fujii, T. Fujimori, P. Fulda, M. Fyffe, B. Gadre, J. R. Gair, S. Galaudage, V. Galdi, H. Gallagher, S. Gallardo, B. Gallego, R. Gamba, A. Gamboa, D. Ganapathy, A. Ganguly, B. Garaventa, J. García-Bellido, C. García Núñez, C. García-Quirós, J. W. Gardner, K. A. Gardner, J. Gargiulo, A. Garron, F. Garufi, C. Gasbarra, B. Gateley, V. Gayathri, G. Gemme, A. Gennai, V. Gennari, J. George, R. George, O. Gerberding, L. Gergely, S. Ghonge, Archisman Ghosh, Sayantan Ghosh, Shaon Ghosh, Shrobana Ghosh, Suprovo Ghosh, Tathagata Ghosh, L. Giacoppo, J. A. Giaime, K. D. Giardina, D. R. Gibson, D. T. Gibson, C. Gier, P. Giri, F. Gissi, S. Gkaitatzis, J. Glanzer, F. Glotin, J. Godfrey, P. Godwin, N. L. Goebbels, E. Goetz, J. Golomb, S. Gomez Lopez, B. Goncharov, Y. Gong, G. González, P. Goodarzi, S. Goode, A. W. Goodwin-Jones, M. Gosselin, A. S. Göttel, R. Gouaty, D. W. Gould, K. Govorkova, S. Goyal, B. Grace, A. Grado, V. Graham, A. E. Granados, M. Granata, V. Granata, S. Gras, P. Grassia, A. Gray, C. Gray, R. Gray, G. Greco, A. C. Green, S. M. Green, S. R. Green, A. M. Gretarsson, E. M. Gretarsson, D. Griffith, W. L. Griffiths, H. L. Griggs, G. Grignani, A. Grimaldi, C. Grimaud, H. Grote, D. Guerra, D. Guetta, G. M. Guidi, A. R. Guimaraes, H. K. Gulati, F. Gulminelli, A. M. Gunny, H. Guo, W. Guo, Y. Guo, Anchal Gupta, Anuradha Gupta, Ish Gupta, N. C. Gupta, P. Gupta, S. K. Gupta, T. Gupta, N. Gupte, J. Gurs, N. Gutierrez, F. Guzman, H.-Y. H, D. Haba, M. Haberland, S. Haino, E. D. Hall, E. Z. Hamilton, G. Hammond, W.-B. Han, M. Haney, J. Hanks, C. Hanna, M. D. Hannam, O. A. Hannuksela, A. G. Hanselman, H. Hansen, J. Hanson, R. Harada, A. R. Hardison, K. Haris, T. Harmark, J. Harms, G. M. Harry, I. W. Harry, J. Hart, B. Haskell, C.-J. Haster, J. S. Hathaway, K. Haughian, H. Hayakawa, K. Hayama, R. Hayes, A. Heffernan, A. Heidmann, M. C. Heintze, J. Heinze, J. Heinzel, H. Heitmann, F. Hellman, P. Hello, A. F. Helmling-Cornell, G. Hemming, O. Henderson-Sapir, M. Hendry, I. S. Heng, E. Hennes, C. Henshaw, T. Hertog, M. Heurs, A. L. Hewitt, J. Heyns, S. Higginbotham, S. Hild, S. Hill, Y. Himemoto, N. Hirata, C. Hirose, S. Hoang, S. Hochheim, D. Hofman, N. A. Holland, K. Holley-Bockelmann, Z. J. Holmes, D. E. Holz, L. Honet, C. Hong, J. Hornung, S. Hoshino, J. Hough, S. Hourihane, E. J. Howell, C. G. Hoy, C. A. Hrishikesh, H.-F. Hsieh, C. Hsiung, H. C. Hsu, W.-F. Hsu, P. Hu, Q. Hu, H. Y. Huang, Y.-J. Huang, A. D. Huddart, B. Hughey, D. C. Y. Hui, V. Hui, S. Husa, R. Huxford, T. Huynh-Dinh, L. Iampieri, G. A. Iandolo, M. Ianni, A. Iess, H. Imafuku, K. Inayoshi, Y. Inoue, G. Iorio, M. H. Iqbal, J. Irwin, R. Ishikawa, M. Isi, M. A. Ismail, Y. Itoh, H. Iwanaga, M. Iwaya, B. R. Iyer, V. JaberianHamedan, C. Jacquet, P.-E. Jacquet, S. J. Jadhav, S. P. Jadhav, T. Jain, A. L. James, P. A. James, R. Jamshidi, J. Janquart, K. Janssens, N. N. Janthalur, S. Jaraba, P. Jaranowski, R. Jaume, W. Javed, A. Jennings, W. Jia, J. Jiang, J. Kubisz, C. Johanson, G. R. Johns, N. A. Johnson, N. K. Johnson-McDaniel, M. C. Johnston, R. Johnston, N. Johny, D. H. Jones, D. I. Jones, R. Jones, S. Jose, P. Joshi, L. Ju, K. Jung, J. Junker, V. Juste, T. Kajita, I. Kaku, C. Kalaghatgi, V. Kalogera, M. Kamiizumi, N. Kanda, S. Kandhasamy, G. Kang, J. B. Kanner, S. J. Kapadia, D. P. Kapasi, S. Karat, C. Karathanasis, R. Kashyap, M. Kasprzack, W. Kastaun, T. Kato, E. Katsavounidis, W. Katzman, R. Kaushik, K. Kawabe, R. Kawamoto, A. Kazemi, A. Kedia, D. Keitel, J. Kelley-Derzon, J. Kennington, R. Kesharwani, J. S. Key, R. Khadela, S. Khadka, F. Y. Khalili, F. Khan, I. Khan, T. Khanam, M. Khursheed, N. M. Khusid, W. Kiendrebeogo, N. Kijbunchoo, C. Kim, J. C. Kim, K. Kim, M. H. Kim, S. Kim, Y.-M. Kim, C. Kimball, M. Kinley-Hanlon, M. Kinnear, J. S. Kissel, S. Klimenko, A. M. Knee, N. Knust, K. Kobayashi, P. Koch, S. M. Koehlenbeck, G. Koekoek, K. Kohri, K. Kokeyama, S. Koley, P. Kolitsidou, M. Kolstein, K. Komori, A. K. H. Kong, A. Kontos, M. Korobko, R. V. Kossak, X. Kou, A. Koushik, N. Kouvatsos, M. Kovalam, D. B. Kozak, S. L. Kranzhoff, V. Kringel, N. V. Krishnendu, A. Królak, K. Kruska, G. Kuehn, P. Kuijer, S. Kulkarni, A. Kulur Ramamohan, A. Kumar, Praveen Kumar, Prayush Kumar, Rahul Kumar, Rakesh Kumar, J. Kume, K. Kuns, N. Kuntimaddi, S. Kuroyanagi, N. J. Kurth, S. Kuwahara, K. Kwak, K. Kwan, J. Kwok, G. Lacaille, P. Lagabbe, D. Laghi, S. Lai, A. H. Laity, M. H. Lakkis, E. Lalande, M. Lalleman, P. C. Lalremruati, M. Landry, P. Landry, B. B. Lane, R. N. Lang, J. Lange, B. Lantz, A. La Rana, I. La Rosa, A. Lartaux-Vollard, P. D. Lasky, J. Lawrence, M. N. Lawrence, M. Laxen, A. Lazzarini, C. Lazzaro, P. Leaci, Y. K. Lecoeuche, H. M. Lee, H. W. Lee, K. Lee, R.-K. Lee, R. Lee, S. Lee, Y. Lee, I. N. Legred, J. Lehmann, L. Lehner, M. Le Jean, A. Lemaître, M. Lenti, M. Leonardi, M. Lequime, N. Leroy, M. Lesovsky, N. Letendre, M. Lethuillier, S. E. Levin, Y. Levin, K. Leyde, A. K. Y. Li, K. L. Li, T. G. F. Li, X. Li, Z. Li, A. Lihos, C-Y. Lin, C.-Y. Lin, E. T. Lin, F. Lin, H. Lin, L. C.-C. Lin, Y.-C. Lin, F. Linde, S. D. Linker, T. B. Littenberg, A. Liu, G. C. Liu, Jian Liu, F. Llamas Villarreal, J. Llobera-Querol, R. K. L. Lo, J.-P. Locquet, L. T. London, A. Longo, D. Lopez, M. Lopez Portilla, M. Lorenzini, A. Lorenzo-Medina, V. Loriette, M. Lormand, G. Losurdo, T. P. Lott IV, J. D. Lough, H. A. Loughlin, C. O. Lousto, M. J. Lowry, N. Lu, H. Lück, D. Lumaca, A. P. Lundgren, A. W. Lussier, L.-T. Ma, S. Ma, M. Ma'arif, R. Macas, A. Macedo, M. MacInnis, R. R. Maciy, D. M. Macleod, I. A. O. MacMillan, A. Macquet, D. Macri, K. Maeda, S. Maenaut, I. Magaña Hernandez, S. S. Magare, C. Magazzù, R. M. Magee, E. Maggio, R. Maggiore, M. Magnozzi, M. Mahesh, S. Mahesh, M. Maini, S. Majhi, E. Majorana, C. N. Makarem, E. Makelele, J. A. Malaquias-Reis, U. Mali, S. Maliakal, A. Malik, N. Man, V. Mandic, V. Mangano, B. Mannix, G. L. Mansell, G. Mansingh, M. Manske, M. Mantovani, M. Mapelli, F. Marchesoni, D. Marín Pina, F. Marion, S. Márka, Z. Márka, A. S. Markosyan, A. Markowitz, E. Maros, S. Marsat, F. Martelli, I. W. Martin, R. M. Martin, B. B. Martinez, M. Martinez, V. Martinez, A. Martini, K. Martinovic, J. C. Martins, D. V. Martynov, E. J. Marx, L. Massaro, A. Masserot, M. Masso-Reid, M. Mastrodicasa, S. Mastrogiovanni, T. Matcovich, M. Matiushechkina, M. Matsuyama, N. Mavalvala, N. Maxwell, G. McCarrol, R. McCarthy, D. E. McClelland, S. McCormick, L. McCuller, S. McEachin, C. McElhenny, G. I. McGhee, J. McGinn, K. B. M. McGowan, J. McIver, A. McLeod, T. McRae, D. Meacher, Q. Meijer, A. Melatos, S. Mellaerts, A. Menendez-Vazquez, C. S. Menoni, F. Mera, R. A. Mercer, L. Mereni, K. Merfeld, E. L. Merilh, J. R. Mérou, J. D. Merritt, M. Merzougui, C. Messenger, C. Messick, M. Meyer-Conde, F. Meylahn, A. Mhaske, A. Miani, H. Miao, I. Michaloliakos, C. Michel, Y. Michimura, H. Middleton, A. L. Miller, S. Miller, M. Millhouse, E. Milotti, V. Milotti, Y. Minenkov, N. Mio, Ll. M. Mir, L. Mirasola, M. Miravet-Tenés, C.-A. Miritescu, A. K. Mishra, A. Mishra, C. Mishra, T. Mishra, A. L. Mitchell, J. G. Mitchell, S. Mitra, V. P. Mitrofanov, R. Mittleman, O. Miyakawa, S. Miyamoto, S. Miyoki, G. Mo, L. Mobilia, S. R. P. Mohapatra, S. R. Mohite, M. Molina-Ruiz, C. Mondal, M. Mondin, M. Montani, C. J. Moore, D. Moraru, A. More, S. More, G. Moreno, C. Morgan, S. Morisaki, Y. Moriwaki, G. Morras, A. Moscatello, P. Mourier, B. Mours, C. M. Mow-Lowry, F. Muciaccia, Arunava Mukherjee, D. Mukherjee, Samanwaya Mukherjee, Soma Mukherjee, Subroto Mukherjee, Suvodip Mukherjee, N. Mukund, A. Mullavey, J. Munch, J. Mundi, C. L. Mungioli, W. R. Munn Oberg, Y. Murakami, M. Murakoshi, P. G. Murray, S. Muusse, D. Nabari, S. L. Nadji, A. Nagar, N. Nagarajan, K. N. Nagler, K. Nakagaki, K. Nakamura, H. Nakano, M. Nakano, D. Nandi, V. Napolano, P. Narayan, I. Nardecchia, T. Narikawa, H. Narola, L. Naticchioni, R. K. Nayak, J. Neilson, A. Nelson, T. J. N. Nelson, M. Nery, A. Neunzert, S. Ng, L. Nguyen Quynh, S. A. Nichols, A. B. Nielsen, G. Nieradka, A. Niko, Y. Nishino, A. Nishizawa, S. Nissanke, E. Nitoglia, W. Niu, F. Nocera, M. Norman, C. North, J. Novak, J. F. Nuño Siles, L. K. Nuttall, K. Obayashi, J. Oberling, J. O'Dell, M. Oertel, A. Offermans, G. Oganesyan, J. J. Oh, K. Oh, T. O'Hanlon, M. Ohashi, M. Ohkawa, F. Ohme, A. S. Oliveira, R. Oliveri, B. O'Neal, K. Oohara, B. O'Reilly, N. D. Ormsby, M. Orselli, R. O'Shaughnessy, S. O'Shea, Y. Oshima, S. Oshino, S. Ossokine, C. Osthelder, I. Ota, D. J. Ottaway, A. Ouzriat, H. Overmier, B. J. Owen, A. E. Pace, R. Pagano, M. A. Page, A. Pai, A. Pal, S. Pal, M. A. Palaia, M. Pálfi, P. P. Palma, C. Palomba, P. Palud, H. Pan, J. Pan, K. C. Pan, R. Panai, P. K. Panda, S. Pandey, L. Panebianco, P. T. H. Pang, F. Pannarale, K. A. Pannone, B. C. Pant, F. H. Panther, F. Paoletti, A. Paolone, E. E. Papalexakis, L. Papalini, G. Papigkiotis, A. Paquis, A. Parisi, B.-J. Park, J. Park, W. Parker, G. Pascale, D. Pascucci, A. Pasqualetti, R. Passaquieti, L. Passenger, D. Passuello, O. Patane, D. Pathak, M. Pathak, A. Patra, B. Patricelli, A. S. Patron, K. Paul, S. Paul, E. Payne, T. Pearce, M. Pedraza, R. Pegna, A. Pele, F. E. Peña Arellano, S. Penn, M. D. Penuliar, A. Perego, Z. Pereira, J. J. Perez, C. Périgois, G. Perna, A. Perreca, J. Perret, S. Perriès, J. W. Perry, D. Pesios, S. Petracca, C. Petrillo, H. P. Pfeiffer, H. Pham, K. A. Pham, K. S. Phukon, H. Phurailatpam, M. Piarulli, L. Piccari, O. J. Piccinni, M. Pichot, M. Piendibene, F. Piergiovanni, L. Pierini, G. Pierra, V. Pierro, M. Pietrzak, M. Pillas, F. Pilo, L. Pinard, I. M. Pinto, M. Pinto, B. J. Piotrzkowski, M. Pirello, M. D. Pitkin, A. Placidi, E. Placidi, M. L. Planas, W. Plastino, R. Poggiani, E. Polini, L. Pompili, J. Poon, E. Porcelli, E. K. Porter, C. Posnansky, R. Poulton, J. Powell, M. Pracchia, B. K. Pradhan, T. Pradier, A. K. Prajapati, K. Prasai, R. Prasanna, P. Prasia, G. Pratten, G. Principe, M. Principe, G. A. Prodi, L. Prokhorov, P. Prosposito, A. Puecher, J. Pullin, M. Punturo, P. Puppo, M. Pürrer, H. Qi, J. Qin, G. Quéméner, V. Quetschke, C. Quigley, P. J. Quinonez, F. J. Raab, S. S. Raabith, G. Raaijmakers, S. Raja, C. Rajan, B. Rajbhandari, K. E. Ramirez, F. A. Ramis Vidal, A. Ramos-Buades, D. Rana, S. Ranjan, K. Ransom, P. Rapagnani, B. Ratto, S. Rawat, A. Ray, V. Raymond, M. Razzano, J. Read, M. Recaman Payo, T. Regimbau, L. Rei, S. Reid, D. H. Reitze, P. Relton, A. I. Renzini, P. Rettegno, B. Revenu, R. Reyes, A. S. Rezaei, F. Ricci, M. Ricci, A. Ricciardone, J. W. Richardson, M. Richardson, A. Rijal, K. Riles, H. K. Riley, S. Rinaldi, J. Rittmeyer, C. Robertson, F. Robinet, M. Robinson, A. Rocchi, L. Rolland, J. G. Rollins, A. E. Romano, R. Romano, A. Romero, I. M. Romero-Shaw, J. H. Romie, S. Ronchini, T. J. Roocke, L. Rosa, T. J. Rosauer, C. A. Rose, D. Rosińska, M. P. Ross, M. Rossello, S. Rowan, S. K. Roy, S. Roy, D. Rozza, P. Ruggi, N. Ruhama, E. Ruiz Morales, K. Ruiz-Rocha, S. Sachdev, T. Sadecki, J. Sadiq, P. Saffarieh, M. R. Sah, S. S. Saha, S. Saha, T. Sainrat, S. Sajith Menon, K. Sakai, M. Sakellariadou, S. Sakon, O. S. Salafia, F. Salces-Carcoba, L. Salconi, M. Saleem, F. Salemi, M. Sallé, S. Salvador, A. Sanchez, E. J. Sanchez, J. H. Sanchez, L. E. Sanchez, N. Sanchis-Gual, J. R. Sanders, E. M. Sänger, F. Santoliquido, T. R. Saravanan, N. Sarin, S. Sasaoka, A. Sasli, P. Sassi, B. Sassolas, H. Satari, B. S. Sathyaprakash, R. Sato, Y. Sato, O. Sauter, R. L. Savage, T. Sawada, H. L. Sawant, S. Sayah, V. Scacco, D. Schaetzl, M. Scheel, A. Schiebelbein, M. G. Schiworski, P. Schmidt, S. Schmidt, R. Schnabel, M. Schneewind, R. M. S. Schofield, K. Schouteden, B. W. Schulte, B. F. Schutz, E. Schwartz, M. Scialpi, J. Scott, S. M. Scott, T. C. Seetharamu, M. Seglar-Arroyo, Y. Sekiguchi, D. Sellers, A. S. Sengupta, D. Sentenac, E. G. Seo, J. W. Seo, V. Sequino, M. Serra, G. Servignat, A. Sevrin, T. Shaffer, U. S. Shah, M. A. Shaikh, L. Shao, A. K. Sharma, P. Sharma, S. Sharma-Chaudhary, M. R. Shaw, P. Shawhan, N. S. Shcheblanov, E. Sheridan, Y. Shikano, M. Shikauchi, K. Shimode, H. Shinkai, J. Shiota, D. H. Shoemaker, D. M. Shoemaker, R. W. Short, S. ShyamSundar, A. Sider, H. Siegel, M. Sieniawska, D. Sigg, L. Silenzi, M. Simmonds, L. P. Singer, A. Singh, D. Singh, M. K. Singh, S. Singh, A. Singha, A. M. Sintes, V. Sipala, V. Skliris, B. J. J. Slagmolen, T. J. Slaven-Blair, J. Smetana, J. R. Smith, L. Smith, R. J. E. Smith, W. J. Smith, J. Soldateschi, K. Somiya, I. Song, K. Soni, S. Soni, V. Sordini, F. Sorrentino, N. Sorrentino, H. Sotani, R. Soulard, A. Southgate, V. Spagnuolo, A. P. Spencer, M. Spera, P. Spinicelli, J. B. Spoon, C. A. Sprague, A. K. Srivastava, F. Stachurski, D. A. Steer, J. Steinlechner, S. Steinlechner, N. Stergioulas, P. Stevens, S. Stevenson, M. StPierre, G. Stratta, M. D. Strong, A. Strunk, R. Sturani, A. L. Stuver, M. Suchenek, S. Sudhagar, N. Sueltmann, L. Suleiman, K. D. Sullivan, L. Sun, S. Sunil, J. Suresh, P. J. Sutton, T. Suzuki, Y. Suzuki, B. L. Swinkels, A. Syx, M. J. Szczepańczyk, P. Szewczyk, M. Tacca, H. Tagoshi, S. C. Tait, H. Takahashi, R. Takahashi, A. Takamori, T. Takase, K. Takatani, H. Takeda, K. Takeshita, C. Talbot, M. Tamaki, N. Tamanini, D. Tanabe, K. Tanaka, S. J. Tanaka, T. Tanaka, D. Tang, S. Tanioka, D. B. Tanner, L. Tao, R. D. Tapia, E. N. Tapia San Martín, R. Tarafder, C. Taranto, A. Taruya, J. D. Tasson, M. Teloi, R. Tenorio, H. Themann, A. Theodoropoulos, M. P. Thirugnanasambandam, L. M. Thomas, M. Thomas, P. Thomas, J. E. Thompson, S. R. Thondapu, K. A. Thorne, E. Thrane, J. Tissino, A. Tiwari, P. Tiwari, S. Tiwari, V. Tiwari, M. R. Todd, A. M. Toivonen, K. Toland, A. E. Tolley, T. Tomaru, K. Tomita, T. Tomura, H. Tong, C. Tong-Yu, A. Toriyama, N. Toropov, A. Torres-Forné, C. I. Torrie, M. Toscani, I. Tosta e Melo, E. Tournefier, A. Trapananti, F. Travasso, G. Traylor, M. Trevor, M. C. Tringali, A. Tripathee, G. Troian, L. Troiano, A. Trovato, L. Trozzo, R. J. Trudeau, T. T. L. Tsang, R. Tso, S. Tsuchida, L. Tsukada, T. Tsutsui, K. Turbang, M. Turconi, C. Turski, H. Ubach, N. Uchikata, T. Uchiyama, R. P. Udall, T. Uehara, M. Uematsu, K. Ueno, S. Ueno, V. Undheim, T. Ushiba, M. Vacatello, H. Vahlbruch, N. Vaidya, G. Vajente, A. Vajpeyi, G. Valdes, J. Valencia, M. Valentini, S. A. Vallejo-Peña, S. Vallero, V. Valsan, N. van Bakel, M. van Beuzekom, M. van Dael, J. F. J. van den Brand, C. Van Den Broeck, D. C. Vander-Hyde, M. van der Sluys, A. Van de Walle, J. van Dongen, K. Vandra, H. van Haevermaet, J. V. van Heijningen, P. Van Hove, M. VanKeuren, J. Vanosky, M. H. P. M. van Putten, Z. van Ranst, N. van Remortel, M. Vardaro, A. F. Vargas, J. J. Varghese, V. Varma, M. Vasúth, A. Vecchio, G. Vedovato, J. Veitch, P. J. Veitch, S. Venikoudis, J. Venneberg, P. Verdier, D. Verkindt, B. Verma, P. Verma, Y. Verma, S. M. Vermeulen, F. Vetrano, A. Veutro, A. M. Vibhute, A. Viceré, S. Vidyant, A. D. Viets, A. Vijaykumar, A. Vilkha, V. Villa-Ortega, E. T. Vincent, J.-Y. Vinet, S. Viret, A. Virtuoso, S. Vitale, A. Vives, H. Vocca, D. Voigt, E. R. G. von Reis, J. S. A. von Wrangel, S. P. Vyatchanin, L. E. Wade, M. Wade, K. J. Wagner, A. Wajid, M. Walker, G. S. Wallace, L. Wallace, H. Wang, J. Z. Wang, W. H. Wang, Z. Wang, G. Waratkar, J. Warner, M. Was, T. Washimi, N. Y. Washington, D. Watarai, K. E. Wayt, B. R. Weaver, B. Weaver, C. R. Weaving, S. A. Webster, M. Weinert, A. J. Weinstein, R. Weiss, F. Wellmann, L. Wen, P. Weßels, K. Wette, J. T. Whelan, B. F. Whiting, C. Whittle, J. B. Wildberger, O. S. Wilk, D. Wilken, A. T. Wilkin, D. J. Willadsen, K. Willetts, D. Williams, M. J. Williams, N. S. Williams, J. L. Willis, B. Willke, M. Wils, J. Winterflood, C. C. Wipf, G. Woan, J. Woehler, J. K. Wofford, N. E. Wolfe, H. T. Wong, H. W. Y. Wong, I. C. F. Wong, J. L. Wright, M. Wright, C. Wu, D. S. Wu, H. Wu, E. Wuchner, D. M. Wysocki, V. A. Xu, Y. Xu, N. Yadav, H. Yamamoto, K. Yamamoto, T. S. Yamamoto, T. Yamamoto, S. Yamamura, R. Yamazaki, S. Yan, T. Yan, F. W. Yang, F. Yang, K. Z. Yang, Y. Yang, Z. Yarbrough, H. Yasui, S.-W. Yeh, A. B. Yelikar, X. Yin, J. Yokoyama, T. Yokozawa, J. Yoo, H. Yu, S. Yuan, H. Yuzurihara, A. Zadrożny, M. Zanolin, M. Zeeshan, T. Zelenova, J.-P. Zendri, M. Zeoli, M. Zerrad, M. Zevin, A. C. Zhang, L. Zhang, R. Zhang, T. Zhang, Y. Zhang, C. Zhao, Yue Zhao, Yuhang Zhao, Y. Zheng, H. Zhong, R. Zhou, X.-J. Zhu, Z.-H. Zhu, A. B. Zimmerman, M. E. Zucker, J. Zweizig

A. G. Abac et al 2024 The Astrophysical Journal Letters 970 .

  • Provider: AAS Journals

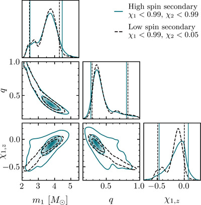
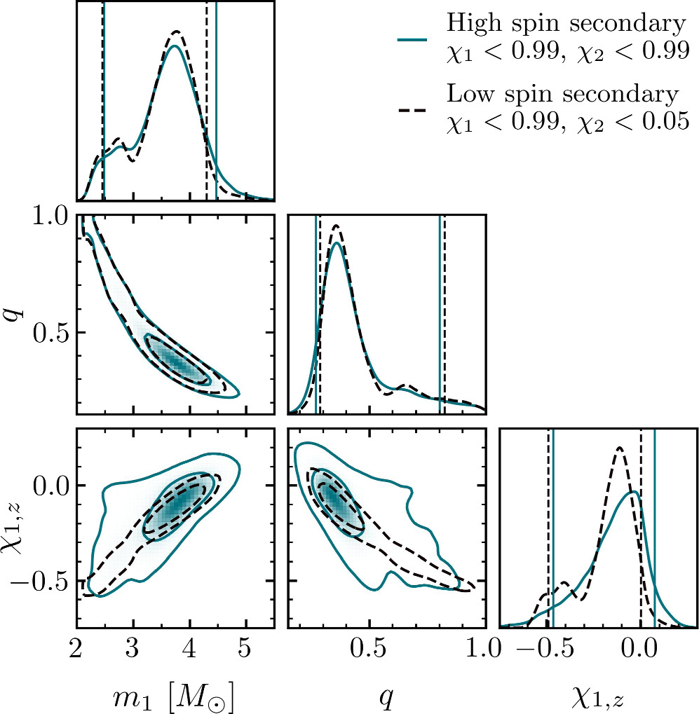
Caption: Figure 2.

Selected source properties of GW230529. The plot shows the one-dimensional (diagonal) and two-dimensional (off-diagonal) marginal posterior distributions for the primary mass m 1, the mass ratio q, and the spin component parallel to the orbital angular momentum ﹩{\chi }_{1,z}\equiv {{\boldsymbol{\chi }}}_{1}\cdot {\hat{L}}_{{\rm{N}}}﹩. The shaded regions denote the posterior probability, with the solid (dashed) curves marking the 50% and 90% credible regions for the posteriors determined using a high-spin (low-spin) prior on the secondary of χ 2 < 0.99 (χ 2 < 0.05). The vertical lines in the one-dimensional marginal posteriors mark the 90% credible intervals.

Other Images in This Article

Show More

Copyright and Terms & Conditions

Additional terms of reuse