Image Details

Choose export citation format:

Pulse Peak Migration during the Outburst Decay of the Magnetar SGR 1830-0645: Crustal Motion and Magnetospheric Untwisting

  • Authors: George Younes, Samuel K Lander, Matthew G. Baring, Teruaki Enoto, Chryssa Kouveliotou, Zorawar Wadiasingh, Wynn C.G. Ho, Alice K. Harding, Zaven Arzoumanian, Keith Gendreau, Tolga Güver, Chin-Ping Hu, Christian Malacaria, Paul S. Ray, and Tod E. Strohmayer

2022 The Astrophysical Journal Letters 924 L27.

  • Provider: AAS Journals

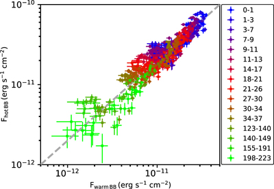
Caption: Figure 4.

Hot BB vs. warm BB fluxes derived from our phase-resolved spectroscopic analysis, color-coded by time interval (in days) during which the analysis is performed. An obvious linear correlation exists between the fluxes of each component throughout the outburst following Fhot BB ∝ 2 × Fwarm BB, shown as a dashed gray line.

Other Images in This Article
Copyright and Terms & Conditions