Image Details

Choose export citation format:

Dynamical Formation of the GW190814 Merger

  • Authors: Manuel Arca Sedda

2021 The Astrophysical Journal Letters 908 L38.

  • Provider: AAS Journals

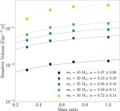
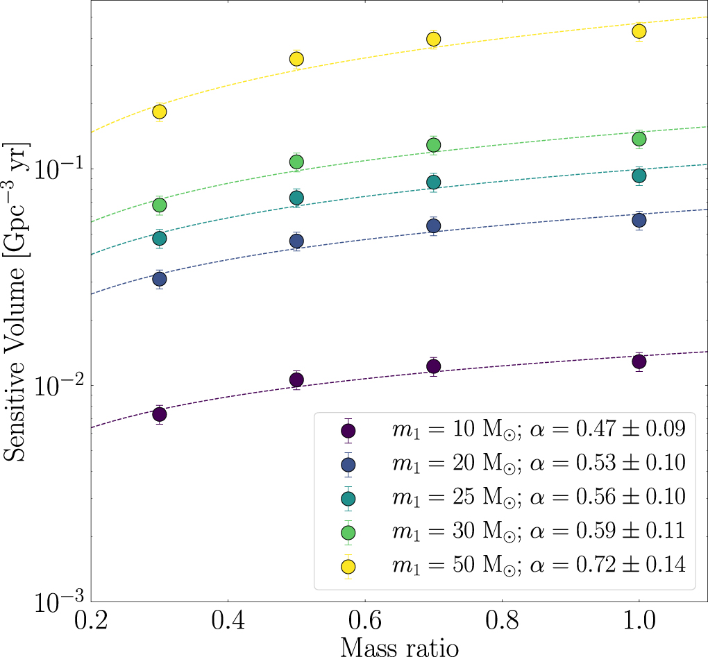
Caption: Figure 7.

Sensitive redshifted spacetime volume, VT, of the LIGO detectors in observation runs O1 and O2 as a function of the mass ratio and for different values of the primary mass. The dotted lines represent least-squares fits of the data. The data points are extracted from Fishbach & Holz (2017).

Other Images in This Article
Copyright and Terms & Conditions