Image Details

Choose export citation format:

Wave Composition, Propagation, and Polarization of Magnetohydrodynamic Turbulence within 0.3 au as Observed by Parker Solar Probe

  • Authors: Xingyu Zhu, Jiansen He, Daniel Verscharen, Die Duan, and Stuart D. Bale

2020 The Astrophysical Journal Letters 901 L3.

  • Provider: AAS Journals

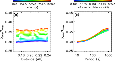
Caption: Figure 5.

Panel (a): the distance profiles of the ratio between the middle and maximum singular values of the magnetic spectral matrix (λmid/λmax) for the magnetic fluctuations at different periods from 10 to 1000 s. Panel (b): the variations of λmid/λmax with period for the magnetic fluctuations at different distances from 0.17 to 0.24 au.

Other Images in This Article
Copyright and Terms & Conditions