Image Details

Choose export citation format:

Wave Composition, Propagation, and Polarization of Magnetohydrodynamic Turbulence within 0.3 au as Observed by Parker Solar Probe

  • Authors: Xingyu Zhu, Jiansen He, Daniel Verscharen, Die Duan, and Stuart D. Bale

2020 The Astrophysical Journal Letters 901 L3.

  • Provider: AAS Journals

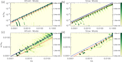
Caption: Figure 4.

Panels (a) and (b): the PDFs of the normalized wavenumbers, kdi, for Alfvén waves and slow waves, at each normalized angular frequency, ω/ωci in the plasma frame, resolved by a benchmark test of the SVD method, with MHD Alfvén-mode and MHD slow-mode fluctuations. The theoretical MHD dispersion relations of Alfvèn mode, fast mode and slow mode are plotted in black, blue, and red solid lines, respectively. Panels (c) and (d): the PDFs of kdi for Alfvén waves and slow waves, at each ω/ωci, obtained from application of the SVD method to the magnetic and velocity measurements from PSP in [20:00, 21:00] UT on 2018 November 5 (panel (c)) and [18:20, 18:25] UT on 2018 November 4 (panel (d)), consistent with the dispersion relations of Alfvén and slow modes, respectively. Unlike in panels (a) and (b), we use the averaged plasma parameters over the corresponding time intervals in panels (c) and (d).

Other Images in This Article
Copyright and Terms & Conditions