Image Details

Choose export citation format:

The Nucleus of Interstellar Comet 2I/Borisov

  • Authors: David Jewitt, Man-To Hui, Yoonyoung Kim, Max Mutchler, Harold Weaver, and Jessica Agarwal

2020 The Astrophysical Journal Letters 888 L23.

  • Provider: AAS Journals

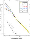
Caption: Figure 5.

Radius (rn) vs. nucleus density (ρ) plane for the nucleus of Comet Borisov. The upper limit from the fitted profile, rn < 0.5 km, is shown as a horizontal black line. The nongravitational motion lower limit (Equation (2)) is shown as a red line. Point A shows rn > 0.2 km, the radius limit inferred if the density is a comet-like ρ = 500 kg m−3. Solutions in the “sweet spot” yellow triangle satisfy both the profile and nongravitational constraints. No solutions exist for densities ρ < 25 kg m−3 (point B). Very low (fractal) densities like that proposed for the nucleus of 1I/’Oumuamua (point C, with ρ = 10−2 kg m−3) are specifically excluded. The blue dashed line shows Equation (3) computed with fA = 1.

Other Images in This Article
Copyright and Terms & Conditions