Image Details

Choose export citation format:

The Nucleus of Interstellar Comet 2I/Borisov

  • Authors: David Jewitt, Man-To Hui, Yoonyoung Kim, Max Mutchler, Harold Weaver, and Jessica Agarwal

2020 The Astrophysical Journal Letters 888 L23.

  • Provider: AAS Journals

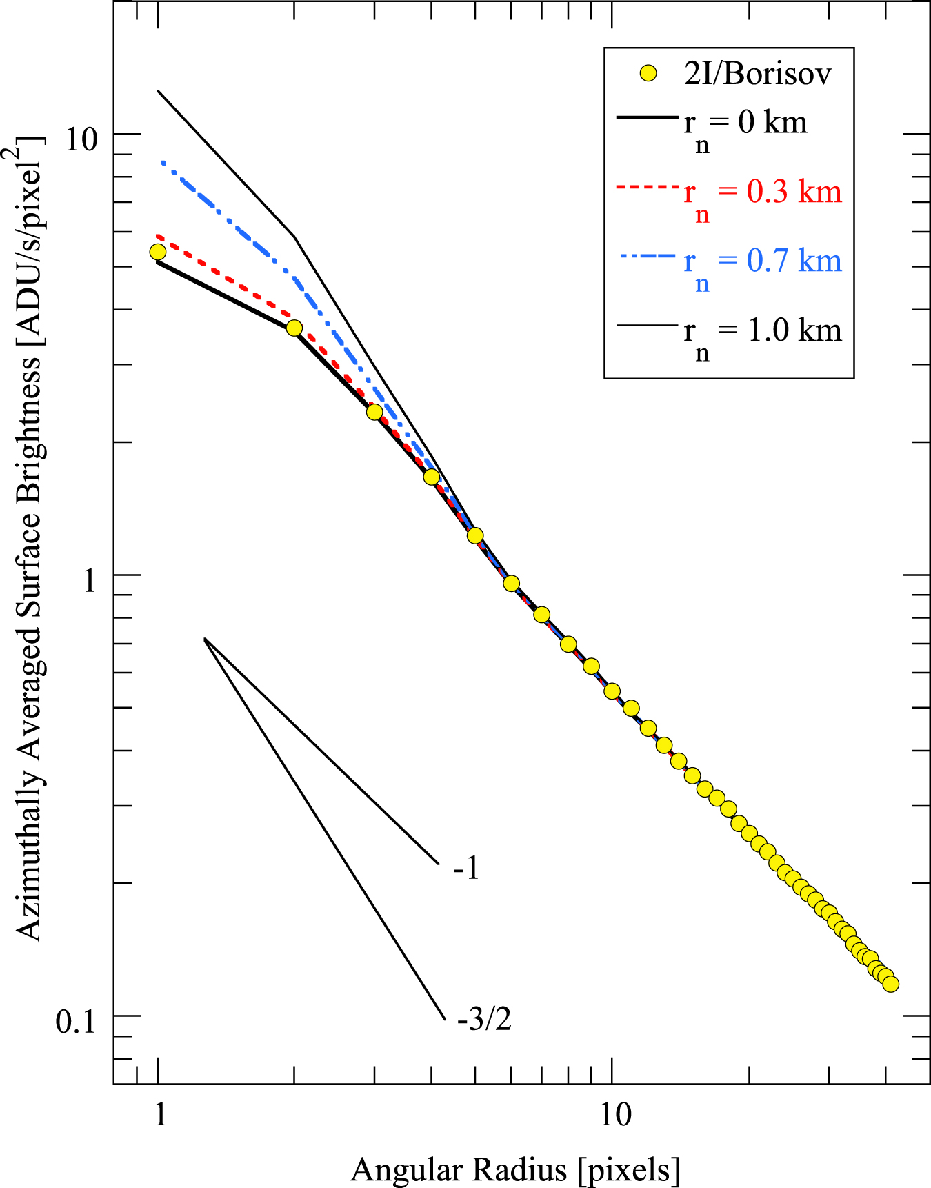
Caption: Figure 4.

Surface brightness profile of comet Borisov (yellow circles) compared with models in which the nucleus radius (for assumed geometric albedo pV = 0.04) is rn = 0 km (thick black line), 0.3 km (dashed red line), 0.7 km (dashed–dotted blue line), and 1.0 km (thin black line). Lines in the lower left indicate logarithmic surface brightness gradients m = 1 and m = −1.5, for comparison.

Other Images in This Article
Copyright and Terms & Conditions