Image Details

Choose export citation format:

Analysis and Modeling of the Multi-wavelength Observations of the Luminous GRB 190114C

  • Authors: N. Fraija, S. Dichiara, A.C. Caligula do E. S. Pedreira, A. Galvan-Gamez, R.L. Becerra, R. Barniol Duran, and B.B. Zhang

2019 The Astrophysical Journal Letters 879 L26.

  • Provider: AAS Journals

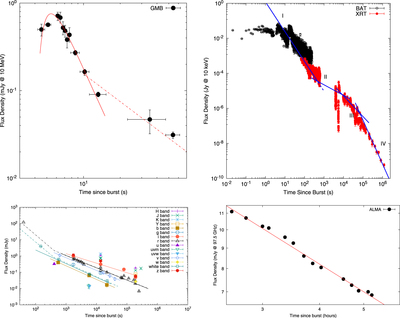
Caption: Figure 2.

The upper left-hand panel shows the GBM light curve at 10 MeV. The solid red line corresponds to the best-fit curve using Equation (1), and the dashed red line corresponds to an SPL. Data were taken from Ravasio et al. (2019). The upper right-hand panel shows the X-ray light curve obtained with Swift BAT (black) and XRT (red) instruments at 10 keV. Blue lines correspond to the best-fit curves using SPL functions. The Swift data were obtained using the publicly available database on the official Swift website. The lower left-hand panel shows the optical light curves of GRB 190114C in different filters with the best-fit functions. The continuous line corresponds to the best-fit curve using an SPL function, and the dotted–dashed line using a broken PL (BPL) function. Optical data were collected from Izzo et al. (2019), Mirzoyan et al. (2019), Bolmer & Shady (2019), Im et al. (2019a), Alexander et al. (2019), D’Avanzo et al. (2019), Kim & Im (2019a), Kumar et al. (2019), Kim & Im (2019b), Im et al. (2019b), and Mazaeva et al. (2019). The lower right-hand panel shows the radio light curve obtained with ALMA at 97.5 GHz. The red line corresponds to the best-fit curve using an SPL function. Radio data were taken from Laskar et al. (2019).

Other Images in This Article
Copyright and Terms & Conditions