Image Details

Choose export citation format:

Tidal Deformability from GW170817 as a Direct Probe of the Neutron Star Radius

  • Authors: Carolyn A. Raithel, Feryal Özel, and Dimitrios Psaltis

2018 The Astrophysical Journal Letters 857 L23.

  • Provider: AAS Journals

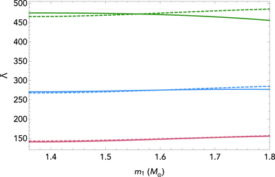
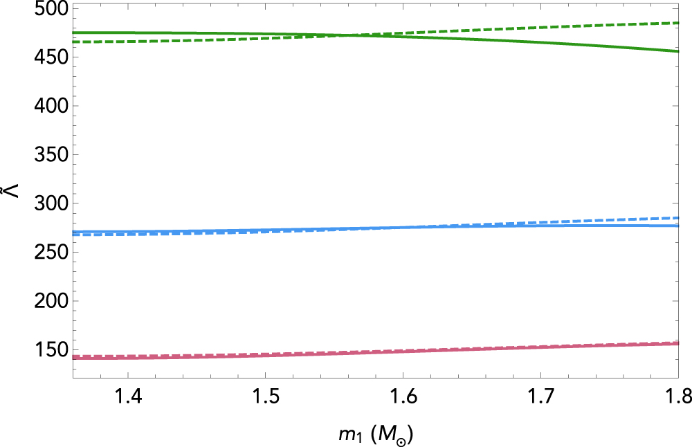
Caption: Figure 2.

Effective tidal deformability of the binary system as a function of the primary mass, m1, when the chirp mass is held fixed at ﹩{{ \mathcal M }}_{c}=1.188\,{M}_{\odot }﹩. We calculate ﹩\widetilde{{\rm{\Lambda }}}﹩ for three fixed radii, R = 10, 11, and 12 km, shown in purple, blue, and green, respectively. The solid lines show the tidal deformability calculated using the empirically fit universal relation between the tidal deformability of each neutron star and its compactness from Yagi & Yunes (2017), while the dashed lines show the quasi-Newtonian approximation for ﹩{{\rm{\Lambda }}}_{i}﹩ from Equation (7). The quasi-Newtonian approximation is a good approximation to the fully relativistic result.

Other Images in This Article
Copyright and Terms & Conditions