Image Details

Choose export citation format:

Tidal Deformability from GW170817 as a Direct Probe of the Neutron Star Radius

  • Authors: Carolyn A. Raithel, Feryal Özel, and Dimitrios Psaltis

2018 The Astrophysical Journal Letters 857 L23.

  • Provider: AAS Journals

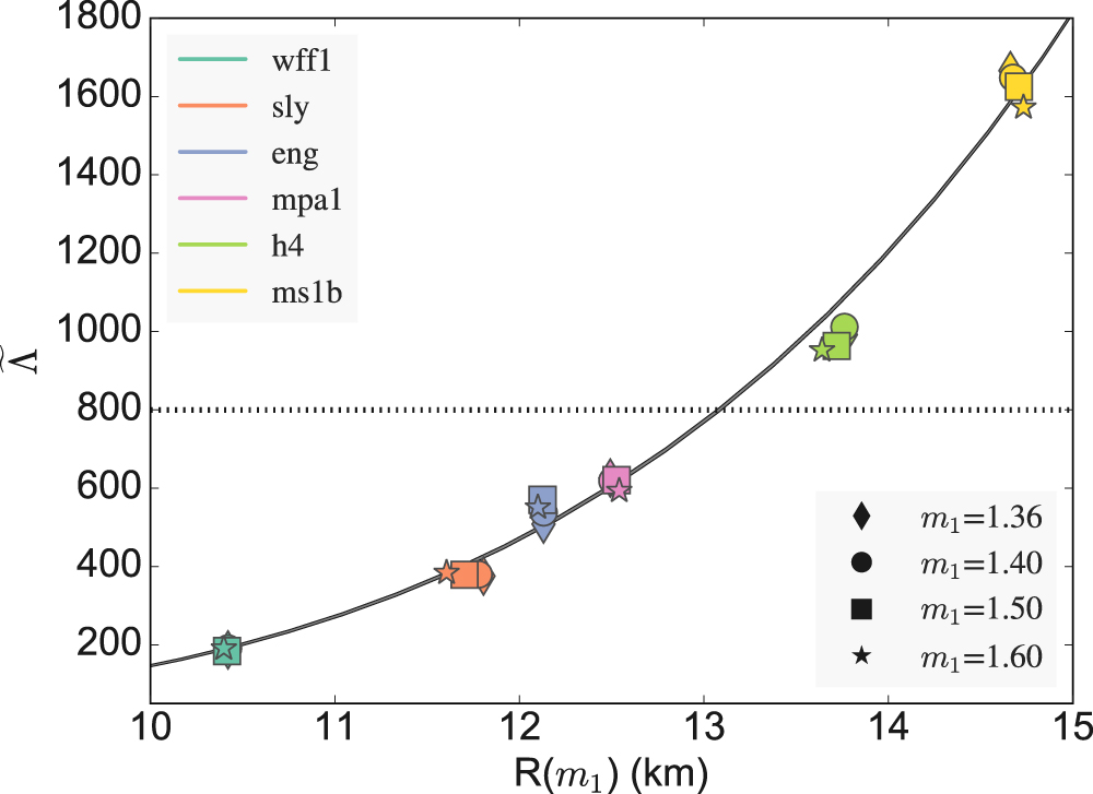
Caption: Figure 1.

Effective tidal deformability of the binary system as a function of the radius of the primary neutron star. The tidal deformability is calculated for various primary masses (corresponding to the different symbols) using several proposed equations of state (corresponding to the different colors). The mass of the secondary neutron star is found assuming the chirp mass, ﹩{{ \mathcal M }}_{c}﹩ = 1.188 ﹩{M}_{\odot }﹩, from GW170817. The observed 90% confidence upper limit on ﹩\widetilde{{\rm{\Lambda }}}\leqslant 800﹩ is shown as the dotted line. The narrow band (which is indistinguishable from a single curve) shows the range for q = 0.7–1.0 from Equation (9). We find that ﹩\widetilde{{\rm{\Lambda }}}﹩ is relatively insensitive to m1 but scales strongly with radius, and that the upper limit for GW170817 implies R ≲ 13 km.

Other Images in This Article
Copyright and Terms & Conditions