Image Details

Choose export citation format:

Discrepant Approaches to Modeling Stellar Tides and the Blurring of Pseudosynchronization

  • Authors: R. H. D. Townsend, M. Sun, 萌 孙

R. H. D. Townsend et al 2023 The Astrophysical Journal 953 .

  • Provider: AAS Journals

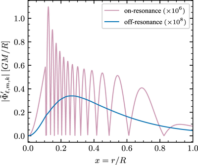
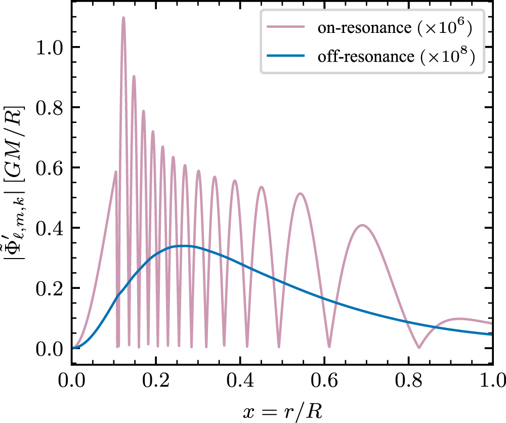
Caption: Figure 4.

Eulerian self-gravitation potential perturbation ﹩{\tilde{{\rm{\Phi }}}}_{{\ell },m,k}^{{\prime} }﹩ plotted against normalized radial coordinate x for forcing on and off resonance with the g 15 mode.

Other Images in This Article
Copyright and Terms & Conditions

Additional terms of reuse