Image Details

Choose export citation format:

Resonant Mode Conversion of Alfvén Waves to Kinetic Alfvén Waves in an Inhomogeneous Plasma

  • Authors: L. Xiang, L. Chen, and D. J. Wu

2019 The Astrophysical Journal 881 61.

  • Provider: AAS Journals

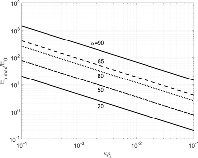
Caption: Figure 5.

Maximal strength of the excited KAW as a function of κρi, where the lines correspond to α = 20°, 50°, 80°, 85°, and 90°, respectively. The plasma parameters kyρi = 0.01, kzρi = 0.01, Ti/Te = 1, and kzvA/ω = 0.3 have been used.

Other Images in This Article
Copyright and Terms & Conditions