Image Details

Choose export citation format:

Exploring Reionization-era Quasars. III. Discovery of 16 Quasars at 6.4 ≲ z ≲ 6.9 with DESI Legacy Imaging Surveys and the UKIRT Hemisphere Survey and Quasar Luminosity Function at z ∼ 6.7

  • Authors: Feige Wang, Jinyi Yang, Xiaohui Fan, Xue-Bing Wu, Minghao Yue, Jiang-Tao Li, Fuyan Bian, Linhua Jiang, Eduardo Bañados, Jan-Torge Schindler, Joseph R. Findlay, Frederick B. Davies, Roberto Decarli, Emanuele P. Farina, Richard Green, Joseph F. Hennawi, Yun-Hsin Huang, Chiara Mazzuccheli, Ian D. McGreer, Bram Venemans, Fabian Walter, Simon Dye, Brad W. Lyke, Adam D. Myers, and Evan Haze Nunez

2019 The Astrophysical Journal 884 30.

  • Provider: AAS Journals

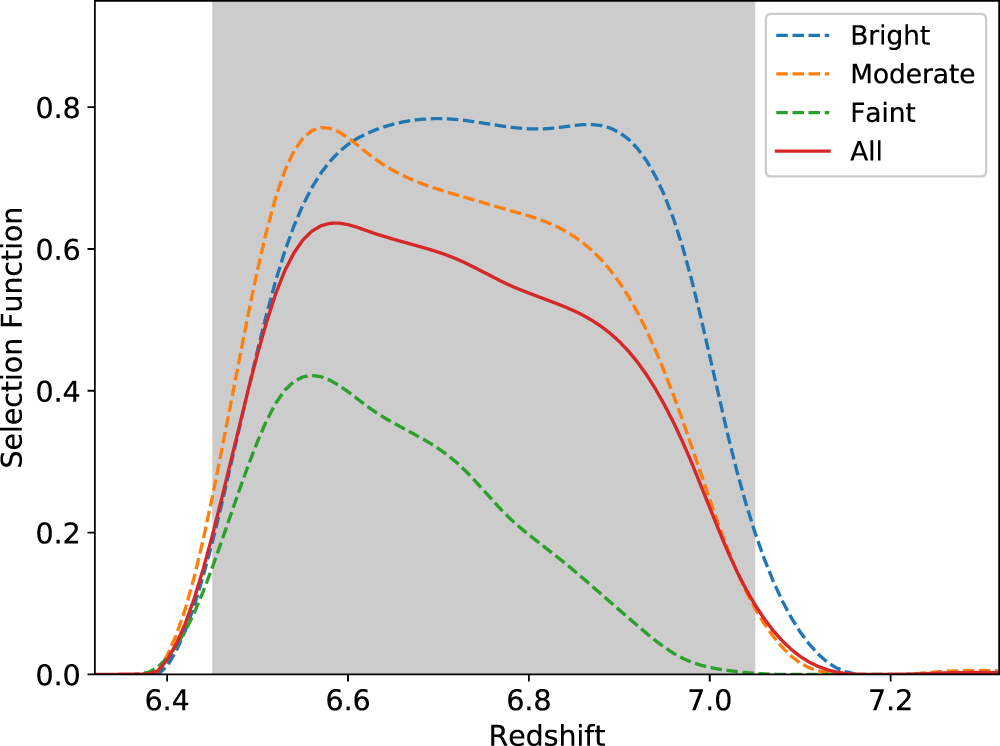
Caption: Figure 7.

Selection function as a function of redshift for three different luminosity bins. The blue, orange, and green dashed lines denote the selection function for quasars with −27.6 < M1450 < −26.9, −26.9 < M1450 < −26.2, and −26.2 < M1450 < −25.5, respectively. The red solid line represents the selection function over the whole magnitude range. The shaded region shows the redshift bin we used for calculating QLF.

Other Images in This Article

Show More

Copyright and Terms & Conditions