Image Details

Choose export citation format:

Testing Seismic Models of Hot B Subdwarfs with Gaia Data

  • Authors: G. Fontaine, P. Bergeron, P. Brassard, S. Charpinet, S. Randall, V. Van Grootel, M. Latour, and E. M. Green

2019 The Astrophysical Journal 880 79.

  • Provider: AAS Journals

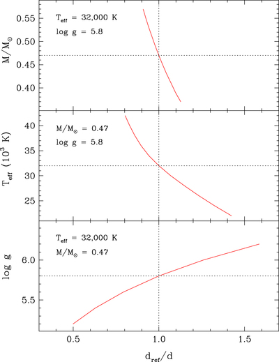
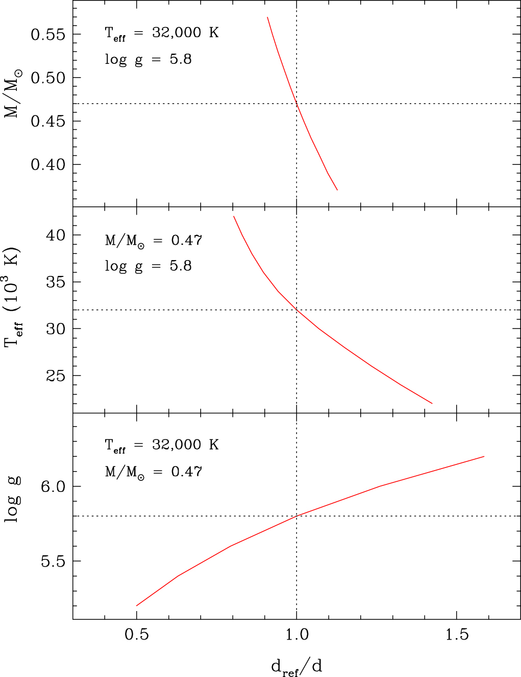
Caption: Figure 2.

Variations of the inferred distance with respect to a reference model obtained by changing one seismic parameter in the range of interest for sdB stars, while keeping the other two fixed.

Other Images in This Article
Copyright and Terms & Conditions