Image Details

Choose export citation format:

The Occurrence of Compact Groups of Galaxies through Cosmic Time

  • Authors: Christopher D. Wiens, Trey V. Wenger, Kelsey E. Johnson, Panayiotis Tzanavaris, S. C. Gallagher, and Liting Xiao

2019 The Astrophysical Journal 873 124.

  • Provider: AAS Journals

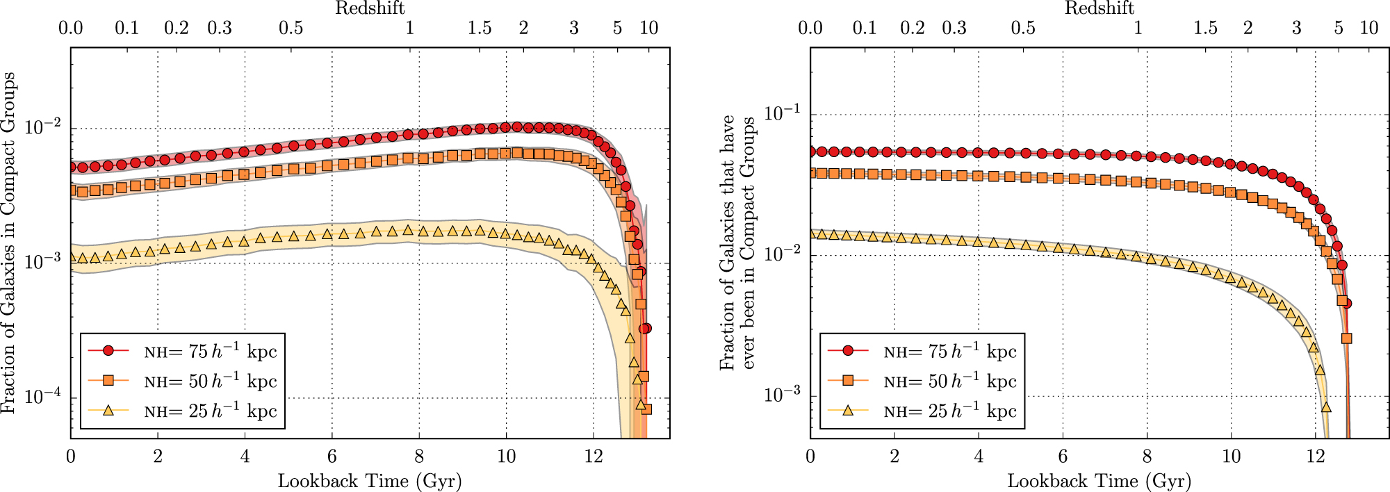
Caption: Figure 6.

Same as Figure 3, but varying the neighborhood parameter. Each analysis uses a maximum shell density ratio ﹩{\mathrm{log}}_{10}({\rm{SR}})=-4﹩ and a minimum mass ratio MR = 0.10. These curves are the results of varying the neighborhood parameter (NH = 75 ﹩{h}^{-1}﹩ kpc, red circles; NH = 50 ﹩{h}^{-1}﹩ kpc, orange squares; NH = 75 ﹩{h}^{-1}﹩ kpc, yellow triangles). The width of the shaded region is 50 times the Poisson uncertainty. The most restrictive NH value of 25 h−1 kpc requires identified systems to be denser.

Other Images in This Article
Copyright and Terms & Conditions