Image Details

Choose export citation format:

The Occurrence of Compact Groups of Galaxies through Cosmic Time

  • Authors: Christopher D. Wiens, Trey V. Wenger, Kelsey E. Johnson, Panayiotis Tzanavaris, S. C. Gallagher, and Liting Xiao

2019 The Astrophysical Journal 873 124.

  • Provider: AAS Journals

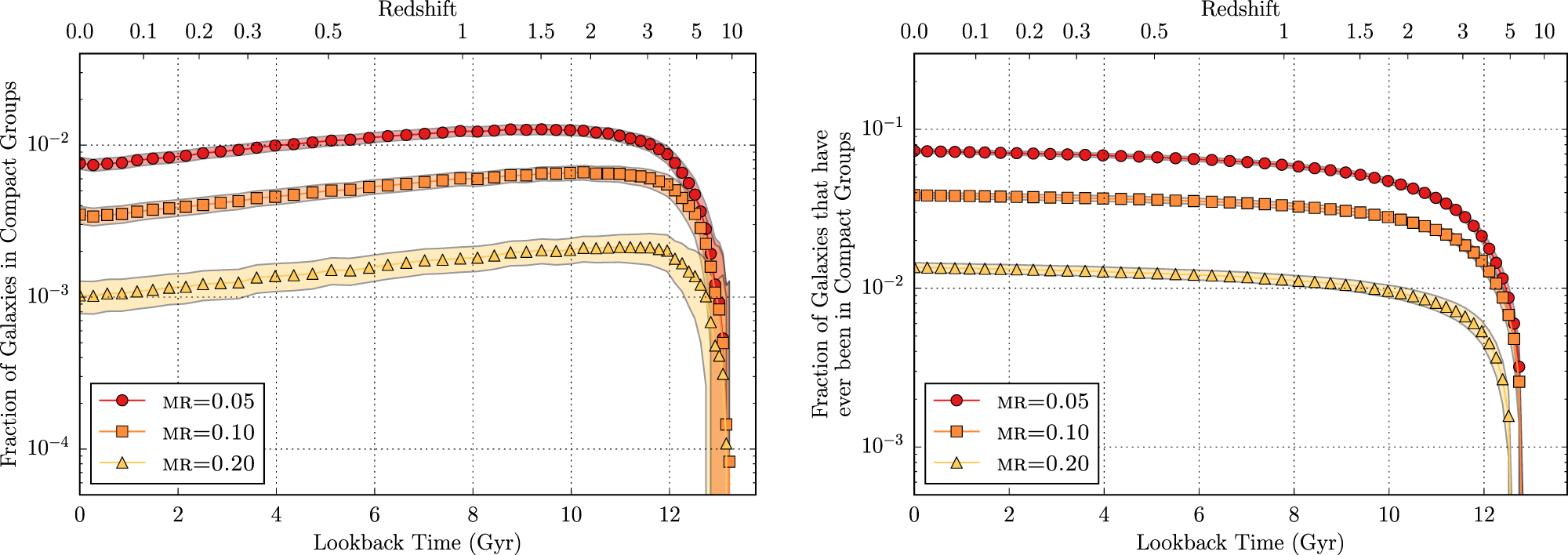
Caption: Figure 3.

Fraction of galaxies (stellar mass greater than 5 × 108 h−1 M) living in CGs (left) or that ever lived in one (right). Each analysis uses a neighborhood parameter NH = 50 ﹩{h}^{-1}﹩ kpc and a maximum shell density ratio ﹩{\mathrm{log}}_{10}({\rm{SR}})=-4﹩. These curves are the results of varying the mass ratio (MR = 0.05, red circles; MR = 0.10, orange squares; MR = 0.20, yellow triangles). The width of the shaded region is 50 times the Poisson uncertainty. In all cases, the fractions of galaxies in CGs peak at z ∼ 1.0–2.4 and drop off sharply at z ∼ 5 because of our dwarf galaxy cutoff mass. As expected, the most restrictive value of MR = 0.20 (with top-ranked galaxies of more comparable masses) results in fewer CGs at all redshifts.

Other Images in This Article
Copyright and Terms & Conditions