Image Details

Choose export citation format:

Neutrino Emissions in All Flavors up to the Pre-bounce of Massive Stars and the Possibility of Their Detections

  • Authors: Chinami Kato, Hiroki Nagakura, Shun Furusawa, Koh Takahashi, Hideyuki Umeda, Takashi Yoshida, Koji Ishidoshiro, and Shoichi Yamada

2017 The Astrophysical Journal 848 48.

  • Provider: AAS Journals

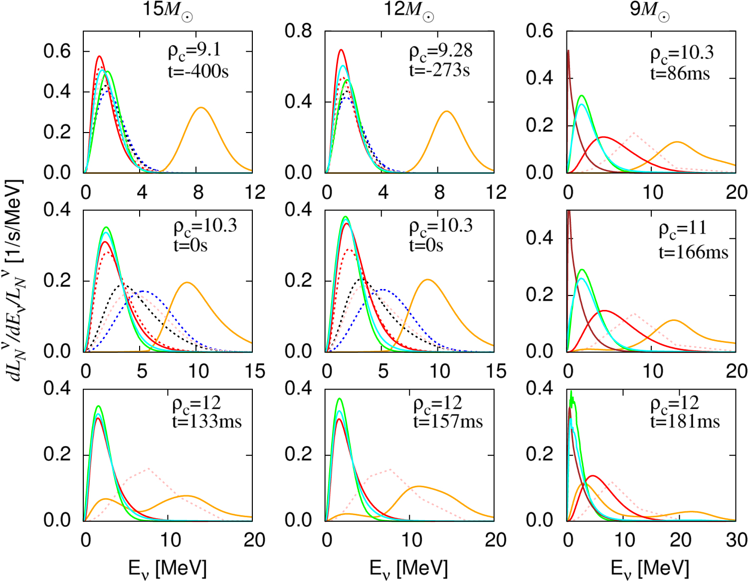
Caption: Figure 9.

Spectra of neutrinos emitted from the entire star at indicated times for the three progenitor models. They are normalized by the corresponding number luminosities. Colors indicate different emission processes as in Figure 5. Note that the scale of the horizontal axes is different among the three models.

Other Images in This Article

Show More

Copyright and Terms & Conditions