Image Details

Choose export citation format:

Neutrino Emissions in All Flavors up to the Pre-bounce of Massive Stars and the Possibility of Their Detections

  • Authors: Chinami Kato, Hiroki Nagakura, Shun Furusawa, Koh Takahashi, Hideyuki Umeda, Takashi Yoshida, Koji Ishidoshiro, and Shoichi Yamada

2017 The Astrophysical Journal 848 48.

  • Provider: AAS Journals

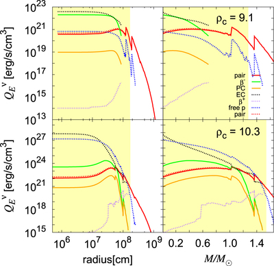
Caption: Figure 8.

Radial profiles of the energy emissivities from different processes for the ﹩15\ {M}_{\odot }﹩ progenitor model. Top and bottom panels show the results when the central density is ﹩{\mathrm{log}}_{10}{\rho }_{c}/[{\rm{g}}\ {\mathrm{cm}}^{-3}]=9.1﹩ and 10.3, respectively. In the left panels, the radius is used as the horizontal axis, whereas in the right panels, the mass coordinate is employed. The line types and color coding are the same as in Figure 5. We define the Fe cores as the regions where the electron fraction satisfies ﹩{Y}_{e}\lt 0.495﹩, and they are in yellow in this figure.

Other Images in This Article

Show More

Copyright and Terms & Conditions