Image Details

Choose export citation format:

Feeling the Pull: A Study of Natural Galactic Accelerometers. II. Kinematics and Mass of the Delicate Stellar Stream of the Palomar 5 Globular Cluster

  • Authors: Rodrigo A. Ibata, Geraint F. Lewis, Guillaume Thomas, Nicolas F. Martin, and Scott Chapman

2017 The Astrophysical Journal 842 120.

  • Provider: AAS Journals

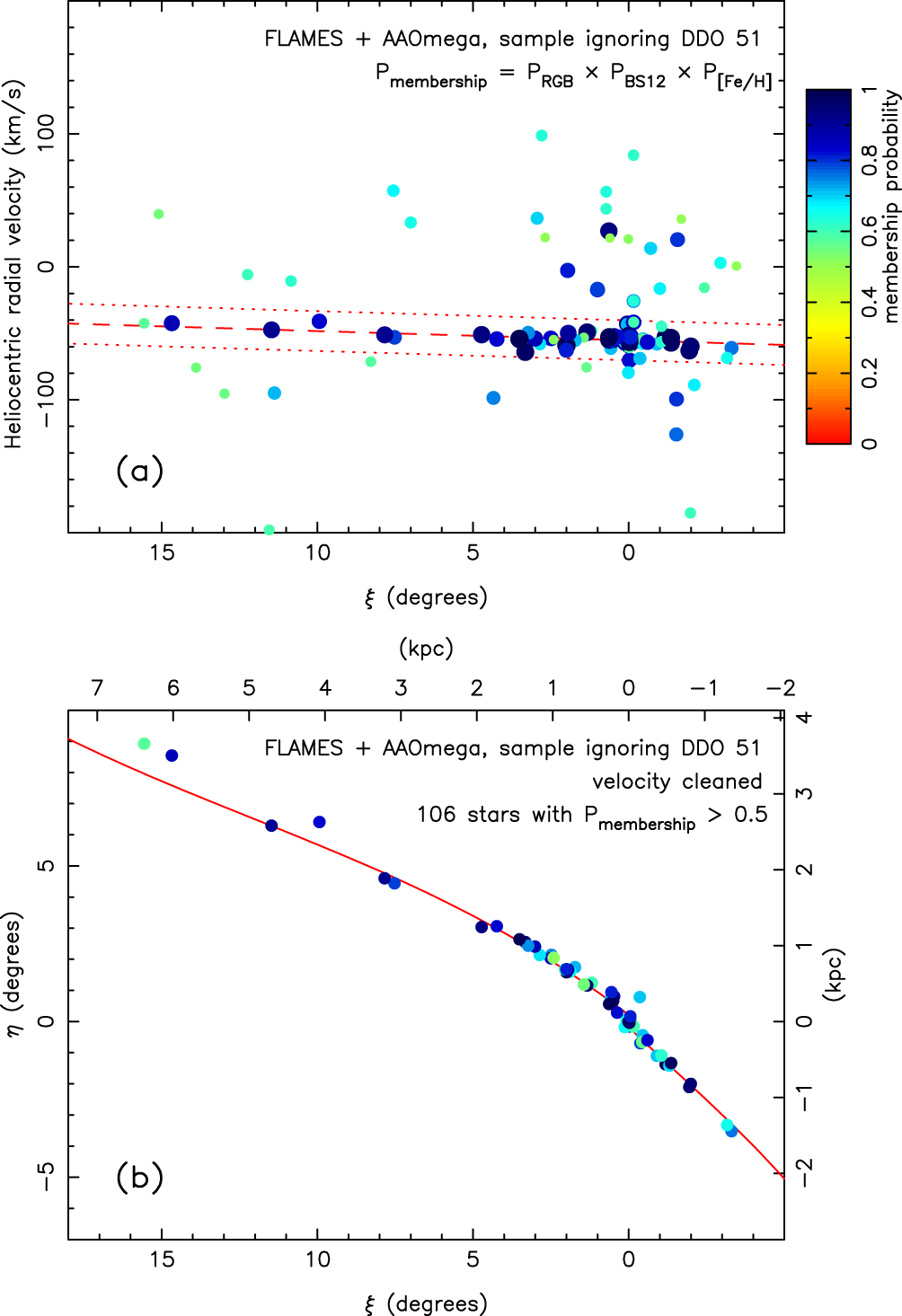
Caption: Figure 6.

As in Figure 5, but ignoring the Washington photometry information. This alternative selection is presented in order to analyze the complete AAOmega data set, as our DDO 51 survey does not fully cover all of the AAOmega fields (see Figure 1). While this should result in a lower fidelity sample than that in Figure 5, it allows us to examine better the possible spread perpendicular to the stream. Note that we use ﹩{P}_{\mathrm{membership}}\gt 0.5﹩ for the present selection. To aid visual comparison, the lines in panels (a) and (b) are copied from Figure 5.

Other Images in This Article

Show More

Copyright and Terms & Conditions