Image Details

Choose export citation format:

Feeling the Pull: A Study of Natural Galactic Accelerometers. II. Kinematics and Mass of the Delicate Stellar Stream of the Palomar 5 Globular Cluster

  • Authors: Rodrigo A. Ibata, Geraint F. Lewis, Guillaume Thomas, Nicolas F. Martin, and Scott Chapman

2017 The Astrophysical Journal 842 120.

  • Provider: AAS Journals

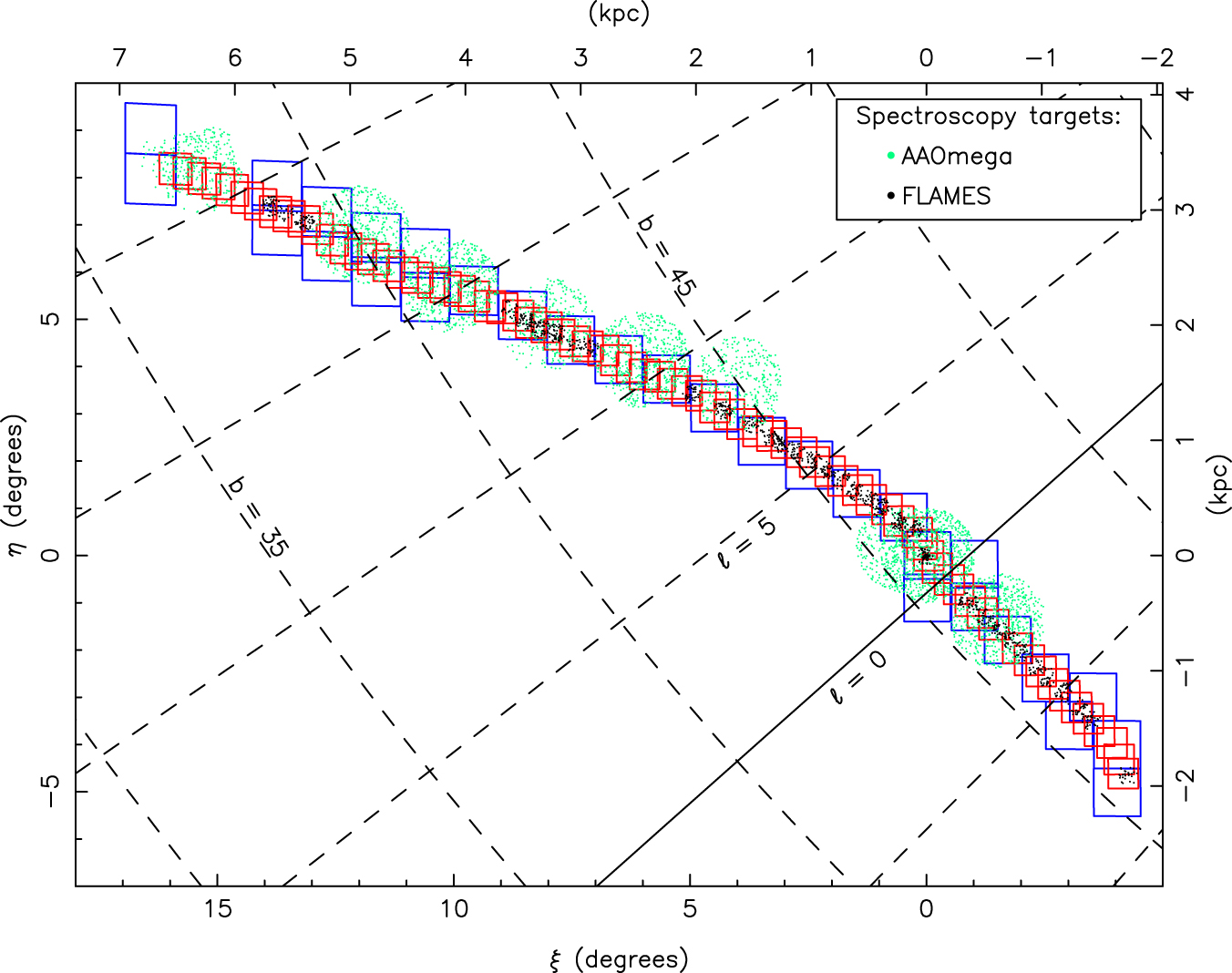
Caption: Figure 1.

Spectroscopic survey fields. The colored dots show the positions of the stars observed with AAOmega (green) and FLAMES (black). Most of these stars are encompassed within the photometric fields observed with the CFHT (blue) and KPNO (red). Additionally, the dashed lines mark a ﹩5^\circ \times 5^\circ ﹩ grid in Galactic coordinates. Note that the ﹩l=0^\circ ﹩ Galactic minor axis (which is shown with the continuous black line), passes very close to Palomar 5 and is almost perpendicular to the stellar stream, implying that the structure is roughly parallel to the Galactic disk, albeit at a high Galactic latitude of ﹩45^\circ ﹩. (This map is shown in standard gnomonic projection, with the ξ and η coordinates locally parallel to R.A. and decl., respectively).

Other Images in This Article

Show More

Copyright and Terms & Conditions