Image Details

Choose export citation format:

A PARALLAX-BASED DISTANCE ESTIMATOR FOR SPIRAL ARM SOURCES

  • Authors: M. J. Reid, T. M. Dame, K. M. Menten, and A. Brunthaler

2016 The Astrophysical Journal 823 77.

  • Provider: AAS Journals

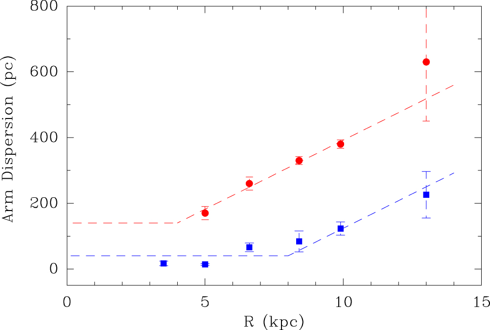
Caption: Figure 2.

Spiral arm dispersion in width (red circles) and z-height (blue squares) vs. Galactocentric radius after Reid et al. (2014). Data from parallax sources were assigned to spiral arms and for each arm's data we calculated and plotted the standard deviation about the mean against the average radius. Dashed lines indicate broken linear fits, that were used to determine the expected deviations of sources from the model spiral arm segments.

Other Images in This Article

Show More

Copyright and Terms & Conditions