Image Details

Choose export citation format:

THE 31 DEG2 RELEASE OF THE STRIPE 82 X-RAY SURVEY: THE POINT SOURCE CATALOG

  • Authors: Stephanie M. LaMassa, C. Megan Urry, Nico Cappelluti, Hans Böhringer, Andrea Comastri, Eilat Glikman, Gordon Richards, Tonima Ananna, Marcella Brusa, Carie Cardamone, Gayoung Chon, Francesca Civano, Duncan Farrah, Marat Gilfanov, Paul Green, S. Komossa, Paulina Lira, Martin Makler, Stefano Marchesi, Robert Pecoraro, Piero Ranalli, Mara Salvato, Kevin Schawinski, Daniel Stern, Ezequiel Treister, and Marco Viero

2016 The Astrophysical Journal 817 172.

  • Provider: AAS Journals

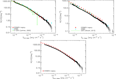
Caption: Figure 3.

Cumulative Log N–Log S relationship for the Stripe 82X survey (black circles) in the soft (top left), hard (top right) , and full (bottom) bands. For reference, we also plot the source number density for other surveys, spanning the gamut from deep, pencil-beam surveys (i.e., the 0.3 deg2 ECDF-S and ∼0.25 deg2 CDFS; Lehmer et al. 2005; Ranalli et al. 2013, respectively), to a moderate-area, moderate depth survey (the 2.2 deg2 Chandra COSMOS-Legacy; Civano et al. 2015; Marchesi et al. 2015), and a wide-area survey (the 132 deg2 2XMMi Serendipitous Survey; Mateos et al. 2008).

Other Images in This Article

Show More

Copyright and Terms & Conditions