Image Details

Choose export citation format:

THE 31 DEG2 RELEASE OF THE STRIPE 82 X-RAY SURVEY: THE POINT SOURCE CATALOG

  • Authors: Stephanie M. LaMassa, C. Megan Urry, Nico Cappelluti, Hans Böhringer, Andrea Comastri, Eilat Glikman, Gordon Richards, Tonima Ananna, Marcella Brusa, Carie Cardamone, Gayoung Chon, Francesca Civano, Duncan Farrah, Marat Gilfanov, Paul Green, S. Komossa, Paulina Lira, Martin Makler, Stefano Marchesi, Robert Pecoraro, Piero Ranalli, Mara Salvato, Kevin Schawinski, Daniel Stern, Ezequiel Treister, and Marco Viero

2016 The Astrophysical Journal 817 172.

  • Provider: AAS Journals

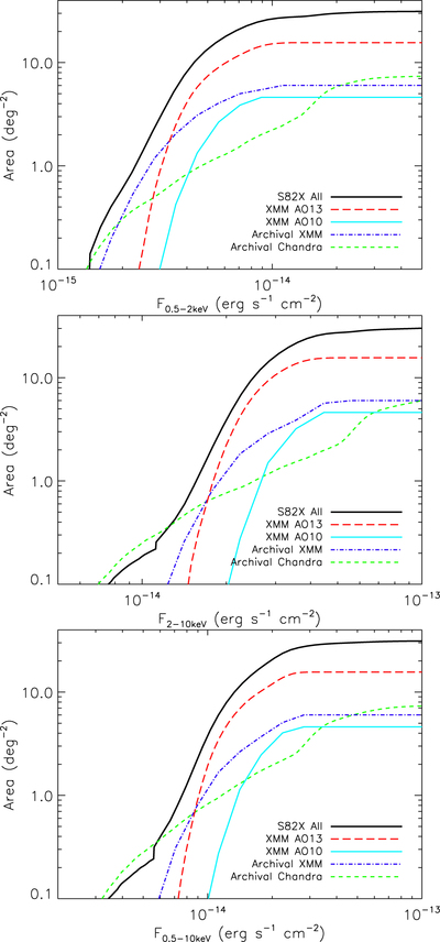
Caption: Figure 2.

Area-flux curves for Stripe 82X in the soft (top), hard (middle), and full bands (bottom). While the colored curves show the full area for the individual data sets as indicated in the legends, the black curve illustrates the total area after removing observations from the archival Chandra and archival XMM-Newton surveys that overlap pointings from the XMM-Newton AO10 and/or AO13 surveys, and, in the case of the archival Chandra observations, archival XMM-Newton surveys; here, we have given preference to the wider-area coverage from XMM-Newton in overlapping pointings. Hence, deeper fluxes accessible by Chandra are consequently removed from the total Stripe 82X area-flux relation. The kink in the total area-flux curve in the hard and full bands comes from discontinuties induced by combining the individual area-flux curves from the archival pointings at lower flux limits.

Other Images in This Article

Show More

Copyright and Terms & Conditions