Image Details

Choose export citation format:

The ACS Survey of Galactic Globular Clusters. VII. Relative Ages

  • Authors: Antonio MarÍn-Franch, Antonio Aparicio, Giampaolo Piotto, Alfred Rosenberg, Brian Chaboyer, Ata Sarajedini, Michael Siegel, Jay Anderson, Luigi R. Bedin, Aaron Dotter, Maren Hempel, Ivan King, Steven Majewski, Antonino P. Milone, Nathaniel Paust, and I. Neill Reid

MARÍN-FRANCH et al. 2009 The Astrophysical Journal 694 1498.

  • Provider: AAS Journals

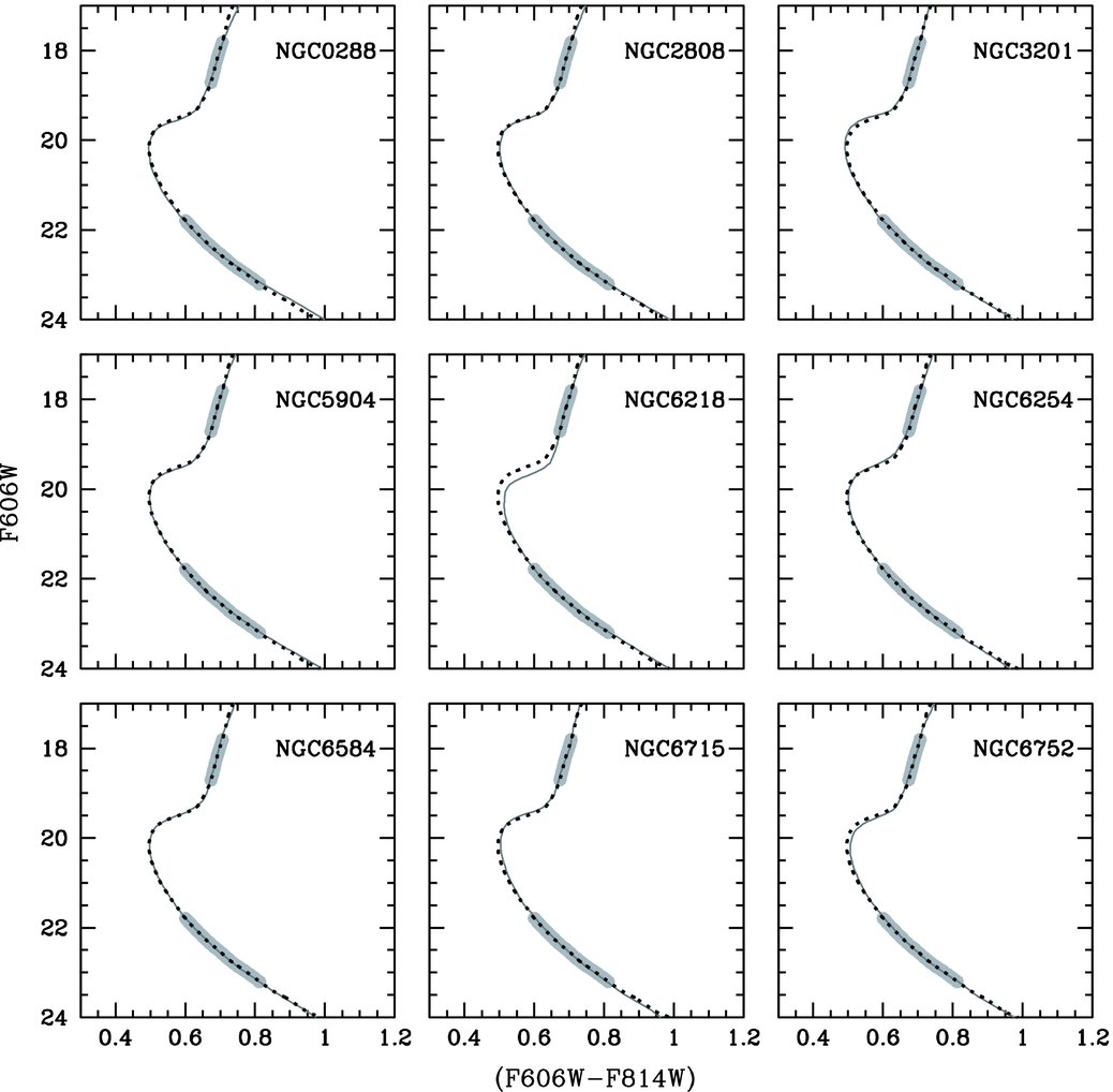
Caption: Figure 3.

Examples of MS-fitting for the −1.3 ⩽ [Fe/H] CG < −1.1 metallicity group. The reference cluster is NGC 6981 (dashed line). Each cluster MRL (solid line) has been fitted to the reference cluster in the magnitude intervals [( M TO F606 W − 2.5) < M F606 W < ( M TO F606 W − 1.5)], and [( M TO F606 W + 1.5) < M F606 W < ( M TO F606 W + 3.0)] (shaded regions).

Other Images in This Article

Show More

Copyright and Terms & Conditions