Image Details

Choose export citation format:

Radiation-induced Degradation and On-orbit Performance Assessment of an sCMOS Detector

  • Authors: Qi Feng, Ziyi Liu, Hongfei Zhang, Jian Wang, Jian Ge, Xinyu Yao, Hongjing Yang, Weicheng Zang, Zitao Zhao, Mingzhu Xun, Baolong Chen, Kangzhe Wang, Xinbo Wang

Qi Feng et al 2026 The Astronomical Journal 171 .

  • Provider: AAS Journals

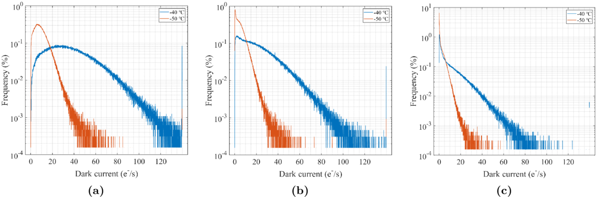
Caption: Figure 16.

Dark current distribution at different operating temperatures of the sCMOS detector. (a) Proton irradiation region with a dose of 6.71 × 1010 p cm−2. (b) Proton irradiation region with a dose of 3.73 × 1010 p cm−2. (c) Proton irradiation region with a dose of 1.32 × 1010 p cm−2.

Other Images in This Article

Show More

Copyright and Terms & Conditions

Additional terms of reuse