Image Details

Choose export citation format:

Radiation-induced Degradation and On-orbit Performance Assessment of an sCMOS Detector

  • Authors: Qi Feng, Ziyi Liu, Hongfei Zhang, Jian Wang, Jian Ge, Xinyu Yao, Hongjing Yang, Weicheng Zang, Zitao Zhao, Mingzhu Xun, Baolong Chen, Kangzhe Wang, Xinbo Wang

Qi Feng et al 2026 The Astronomical Journal 171 .

  • Provider: AAS Journals

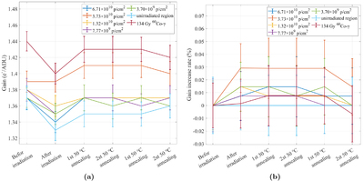
Caption: Figure 7.

Gain variation with irradiation and annealing in each irradiated region at −40°C. (a) Raw measured values. (b) Corrected gain increase rates, where the gain increase rate of each irradiated region is subtracted by the corresponding rate from the nonirradiated region at the same stage.

Other Images in This Article

Show More

Copyright and Terms & Conditions

Additional terms of reuse