Image Details

Choose export citation format:

The Binary–Binary Hierarchical System XY Leo: A Laboratory for Stellar Activity and Concealed Companions

  • Authors: Dolunay Koçak, Kadri Yakut, Chris Tout

Dolunay Koçak et al 2026 The Astronomical Journal 171 .

  • Provider: AAS Journals

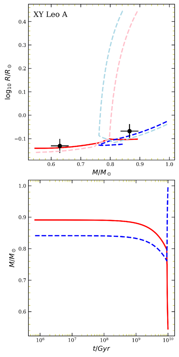
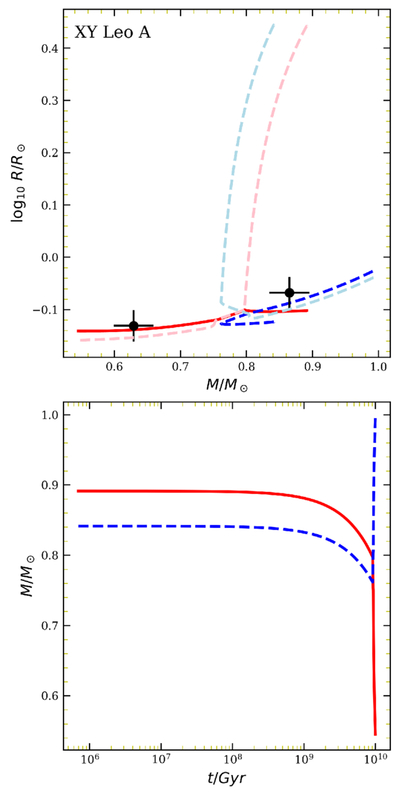
Caption: Figure 6.

Mass–radius (upper panel) and age–mass (bottom panel) diagrams of the XY Leo multiple system’s component stars A1 and A2. Observations are shown with black points. The red and blue lines indicate the evolution tracks for components A1 and A2. The dashed pink and dashed light blue colors show the Roche lobe radii of the components. See the text for details.

Other Images in This Article
Copyright and Terms & Conditions

Additional terms of reuse