Image Details

Choose export citation format:

The Binary–Binary Hierarchical System XY Leo: A Laboratory for Stellar Activity and Concealed Companions

  • Authors: Dolunay Koçak, Kadri Yakut, Chris Tout

Dolunay Koçak et al 2026 The Astronomical Journal 171 .

  • Provider: AAS Journals

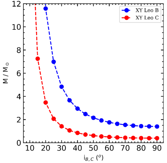
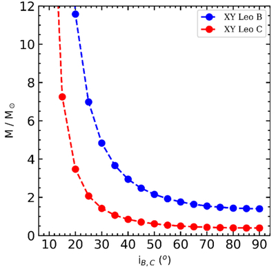
Caption: Figure 4.

Total mass estimates as a function of orbital inclination for the two LITE components. The first corresponds to the confirmed third body (XY Leo B), while the second signal (LITE2) is treated as speculative and may instead arise from magnetic activity. The curves assume Keplerian motion and are shown for illustrative purposes only; the reality of the second modulation remains uncertain due to potential dynamical instability.

Other Images in This Article
Copyright and Terms & Conditions

Additional terms of reuse