Image Details

Choose export citation format:

Mass Production of 2023 KMTNet Microlensing Planets. I. Low Mass Ratio

  • Authors: Yoon-Hyun Ryu, Andrzej Udalski, Hongjing Yang, Kyu-Ha Hwang, Weicheng Zang, Yang Huang, Andrew Gould, Michael D. Albrow, Ping Chen, Sun-Ju Chung, Subo Dong, Cheongho Han, Youn Kil Jung, In-Gu Shin, Yossi Shvartzvald, Jennifer C. Yee, Sang-Mok Cha, Dong-Jin Kim, Seung-Lee Kim, Chung-Uk Lee, Dong-Joo Lee, Yongseok Lee, Byeong-Gon Park, Richard W. Pogge, Przemek Mróz, Radosław Poleski, Jan Skowron, Michał K. Szymański, Igor Soszyński, Paweł Pietrukowicz, Szymon Kozłowski, Krzysztof Ulaczyk, Krzysztof A. Rybicki, Patryk Iwanek, Marcin Wrona, Mariusz Gromadzki, Mateusz J. Mróz

Yoon-Hyun Ryu et al 2026 The Astronomical Journal 171 .

  • Provider: AAS Journals

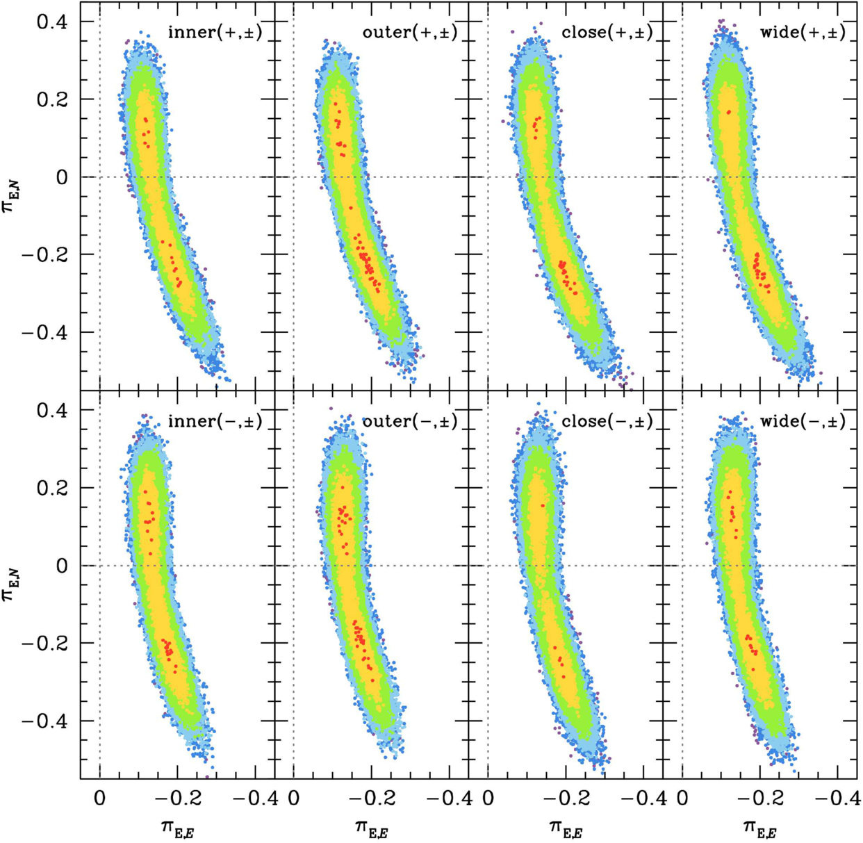
Caption: Figure 14.

Parallax contours for the eight pairs of solutions of KMT-2023-BLG-1746. Colors indicate values of Δχ2 < 1, 4, 9, 16, 25, 36.

Other Images in This Article

Show More

Copyright and Terms & Conditions

Additional terms of reuse