Image Details

Choose export citation format:

Ensemble Machine Learning Approach to Estimate the Asteroseismic Indices for δ Scuti Stars Observed by TESS

  • Authors: Akram Bolouki, Amir Hasanzadeh, Hossein Safari

Akram Bolouki et al 2026 The Astronomical Journal 171 .

  • Provider: AAS Journals

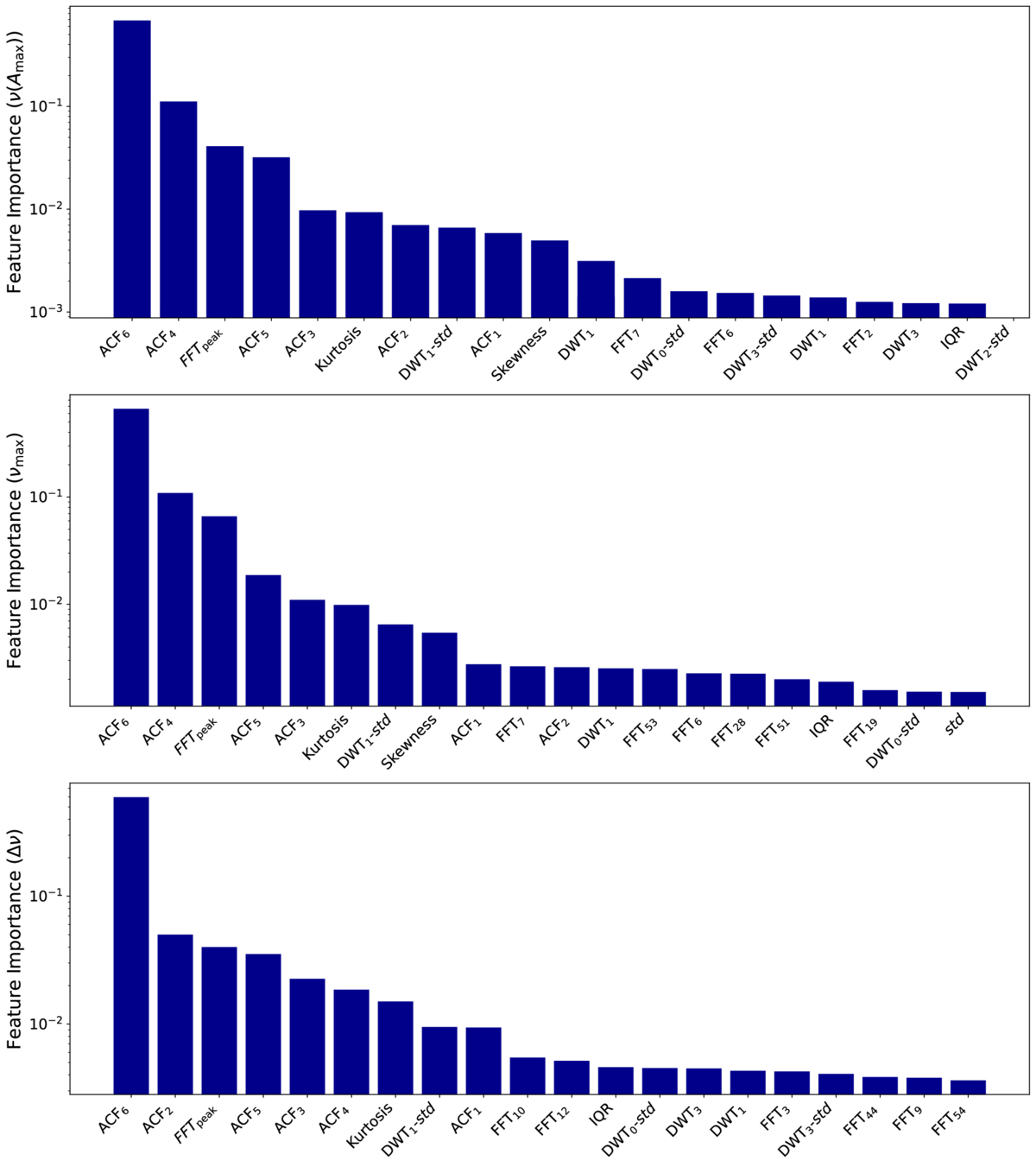
Caption: Figure 3.

The 20 top-ranked features, including ACF, Wavelet (DWT), FFT, and statistical moment-based parameters, for ν(Amax) (top panel), νmax (middle panel), and Δν (bottom panel) obtained during 100 training/testing iterations. Feature subscripts indicate their position within each feature set. For example, ACF6 is the sixth of twelve ACF features and shows the highest mean importance over 100 Random Forest training and testing runs.

Other Images in This Article
Copyright and Terms & Conditions

Additional terms of reuse