Image Details

Choose export citation format:

Evaluating Classifications of Extremely Metal-poor Candidates Selected from Gaia XP Spectra

  • Authors: Riley Thai, Andrew R. Casey, Alexander P. Ji, Vedant Chandra, Hans-Walter Rix

Riley Thai et al 2026 The Astronomical Journal 171 .

  • Provider: AAS Journals

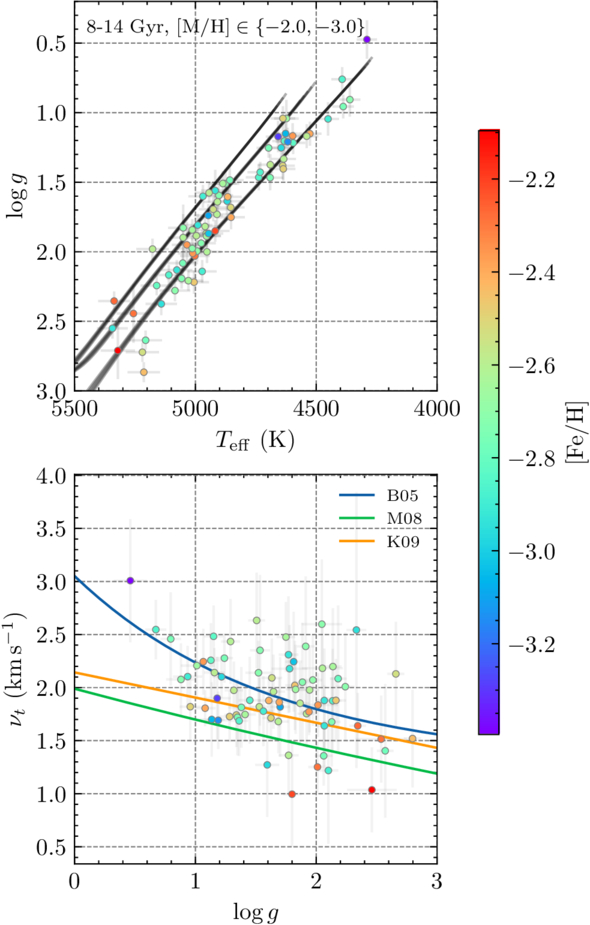
Caption: Figure 1.

Stellar parameters for all stars analyzed vs. scaling relations. Top: effective temperature Teff vs. surface gravity ﹩\mathrm{log}g﹩ compared to MIST isochrones (J. Choi et al. 2016) of three different metallicities ([Fe/H] = −2.0, −2.5, −3.0). We generally recover slightly higher or lower Teff and ﹩\mathrm{log}g﹩ values than expected from the isochrones. Bottom: surface gravity ﹩\mathrm{log}g﹩ vs. microturbulence νt compared to the empirical scaling relations given in P. S. Barklem et al. (2005; B05), A. F. Marino et al. (2008; M08), and E. N. Kirby et al. (2009; K09).

Other Images in This Article

Show More

Copyright and Terms & Conditions

Additional terms of reuse