Image Details

Choose export citation format:

Optimizing Structural Parameters and Layout of Fiber Positioners with the Whale Optimization Algorithm for LAMOST

  • Authors: Zengxiang Zhou, Jiahao Zhou, Baolong Chen, Jianping Wang, Zhigang Liu, Hongzhuan Hu, Feifan Zhang

Zengxiang Zhou et al 2026 The Astronomical Journal 171 .

  • Provider: AAS Journals

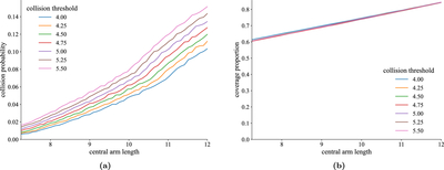
Caption: Figure 8.

(a) The relationship between the collision probability and central arm length for various collision thresholds. (b) The relationship between the coverage proportion and central arm length for collision thresholds.

Other Images in This Article

Show More

Copyright and Terms & Conditions

Additional terms of reuse