Image Details

Choose export citation format:

WIYN Open Cluster Study. XCVII. An Extended Radial-velocity Survey and Spectroscopic Binary Orbits in the Open Cluster NGC 188

  • Authors: Ritvik Sai Narayan, Evan Linck, Robert D. Mathieu, Aaron M. Geller

Ritvik Sai Narayan et al 2026 The Astronomical Journal 171 .

  • Provider: AAS Journals

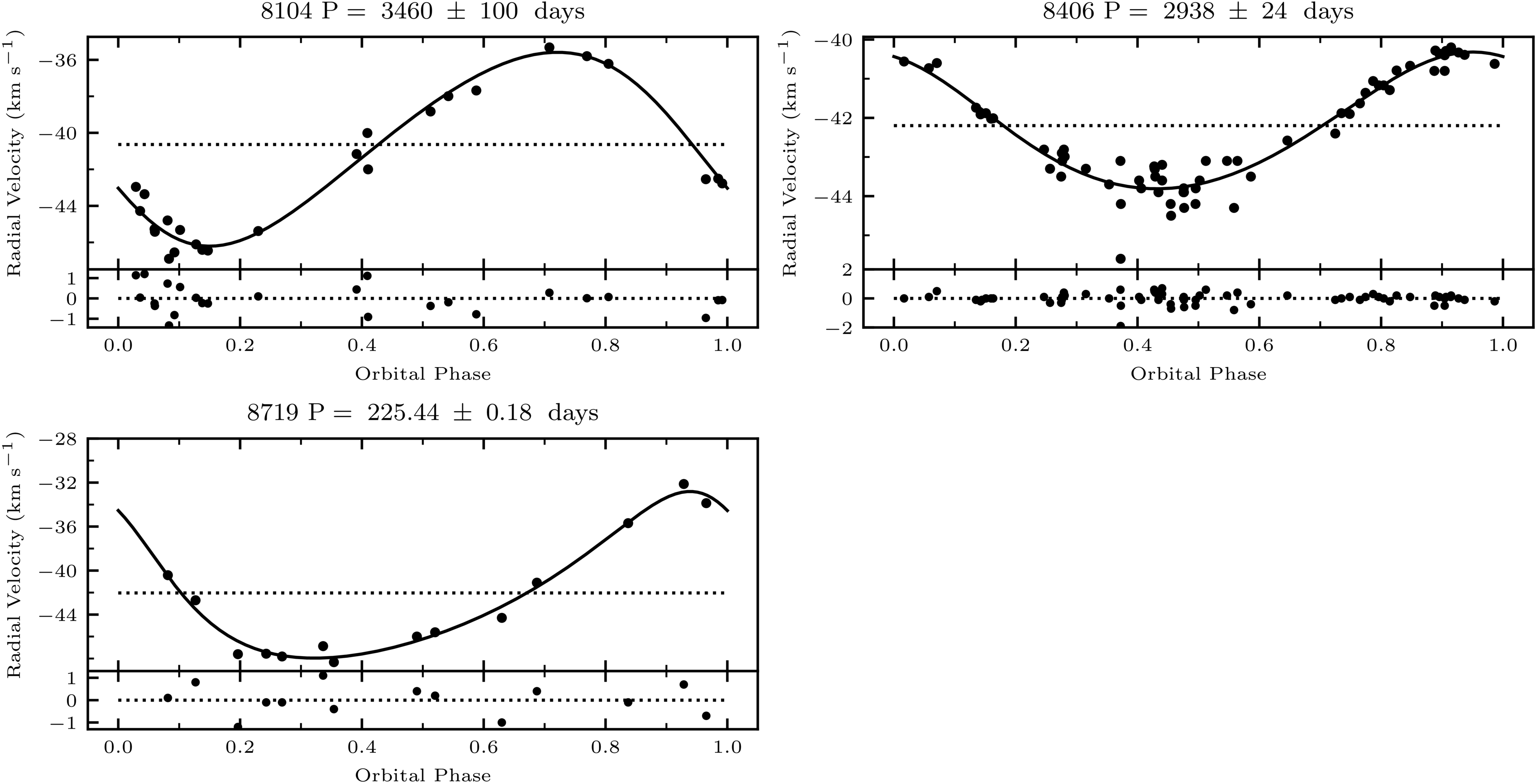
Caption: Figure 5.

NGC 188 SB 1 orbit plots. For each binary in Table 6, we plot RV against orbital phase, showing the data points with black dots and the orbital fit to the data with the solid line; the dotted line marks the γ-velocity. Beneath each orbit plot, we show the residuals from the fit. Above each plot, we give the binary ID and orbital period.

Other Images in This Article

Show More

Copyright and Terms & Conditions

Additional terms of reuse