Image Details

Choose export citation format:

A Warm Massive Pair of Planets around TOI-1232 Revealed with Transit-timing Variations and Doppler Spectroscopy

  • Authors: Deyan P. Mihaylov, Jan Eberhardt, Trifon Trifonov, Rafael Brahm, Thomas Henning, Andrés Jordán, Denitza Stoeva, Matías I. Jones, Lorena Acuña-Aguirre, Stefan Stefanov, M. Tala Pinto, Melissa J. Hobson, Nestor Espinoza, Felipe I. Rojas, Martin Schlecker, Vladimir Bozhilov, Tristan Guillot, Amaury H. M. J. Triaud, Jack J. Lissauer, Judith Korth, Hannu Parviainen, Laura Kreidberg, Philippe Bendjoya, Olga Suarez, Carl Ziegler, Pamela Rowden, Alexander Rudat, Veselin Kostov, Joshua N. Winn, Jon M. Jenkins, Karen A. Collins, Cristilyn N. Watkins, Don J. Radford, Chris Stockdale, Tianjun Gan

Deyan P. Mihaylov et al 2026 The Astronomical Journal 171 .

  • Provider: AAS Journals

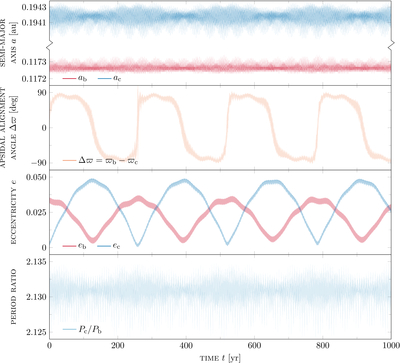
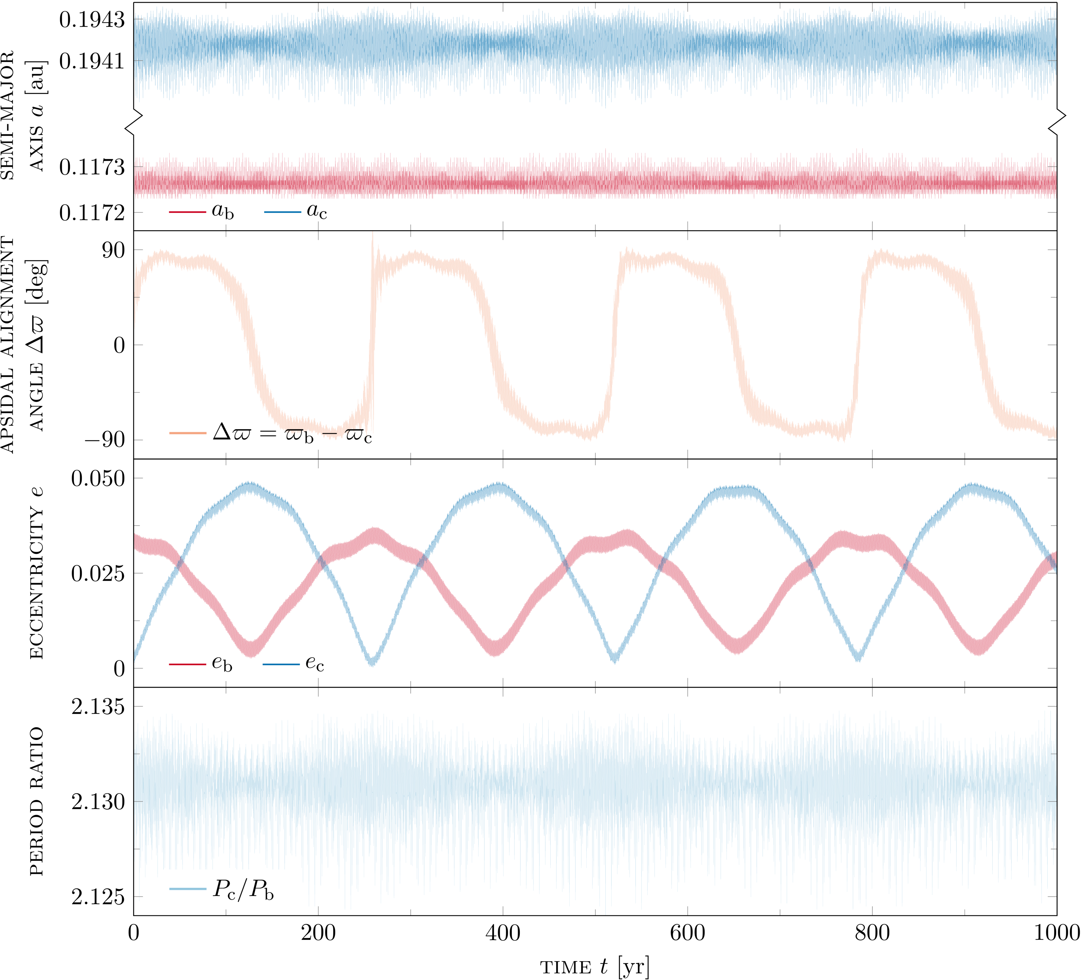
Caption: Figure 10.

Orbital evolution of the TOI-1232 system for a 1000 yr–long N-body integration using Wisdom–Holman scheme. From top to bottom: panel (1): evolution of the planetary semimajor axes ab and ac. Panel (2): evolution of the apsidal alignment angle Δϖ = ϖb − ϖc. Panel (3): evolution of the planetary eccentricities eb and ec. Panel (4): evolution of the period ratio Pc/Pb. Panel (5): evolution of the angle θ1. The system TOI-1232 is outside of the 2:1 MMR, as no libration in any of the resonance angles is observed and the mean period evolution is osculating significantly above the 2:1 period ratio.

Other Images in This Article

Show More

Copyright and Terms & Conditions

Additional terms of reuse