Image Details

Choose export citation format:

Empirical Bolometric Correction and Zero-point Constants of Visual Magnitudes from High-resolution Spectra

  • Authors: Gökhan Yücel, Selçuk Bilir, Volkan Bakış, Zeki Eker

Gökhan Yücel et al 2026 The Astronomical Journal 171 .

  • Provider: AAS Journals

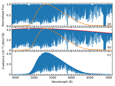
Caption: Figure 2.

Normalized solar spectrum and V filter profile (a), denormalized flux and V filter spectra (b), and the convoluted spectrum of the Sun (c). Dividing the area under the convoluted spectrum by ﹩\sigma {T}_{{\rm{eff}}}^{4}(\odot )﹩ gives solar LV/L = 10.49% or 10.19% for the M. S. Bessell (1990) and the A. U. Landolt (1992) profile functions, respectively.

Other Images in This Article
Copyright and Terms & Conditions

Additional terms of reuse