Image Details

Choose export citation format:

Detection of Exoplanets with Machine Learning Techniques Through Transit Light-curve Analysis

  • Authors: Mir Sakhawat Hossain, Md. Sadman

Mir Sakhawat Hossain and Md. Sadman 2026 The Astronomical Journal 171 .

  • Provider: AAS Journals

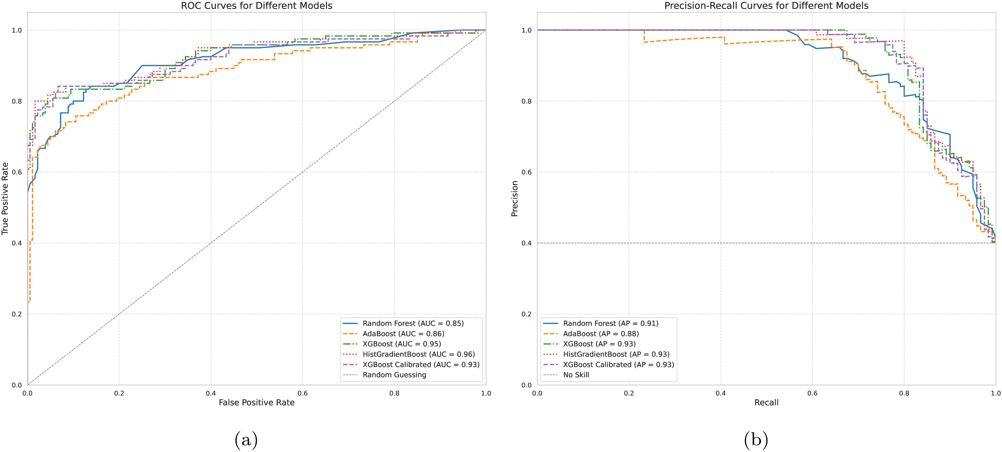
Caption: Figure 4.

(a) ROC curves of five ML algorithms, (b) PR curves of five ML algorithms.

Other Images in This Article
Copyright and Terms & Conditions

Additional terms of reuse